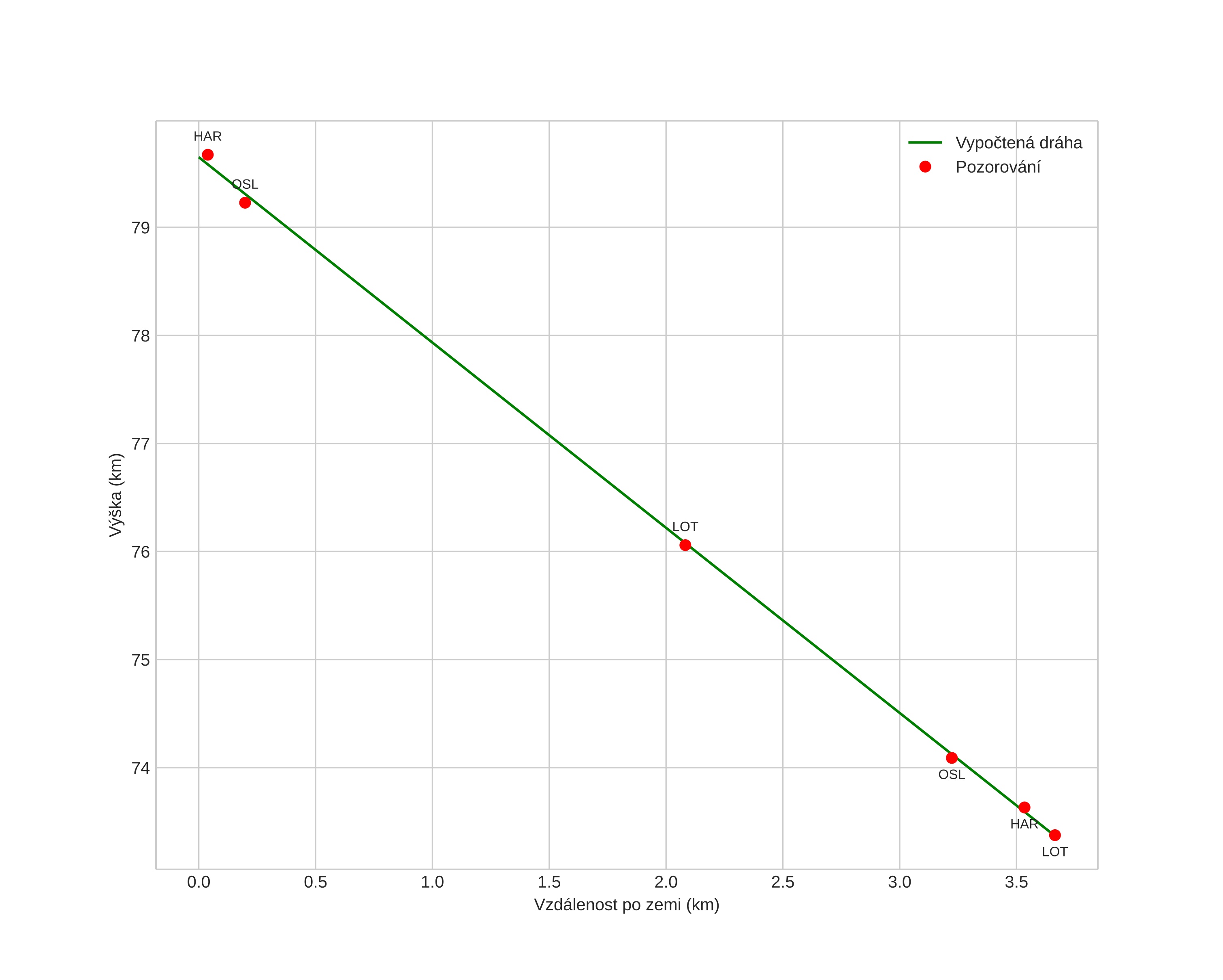
Atmosférická dráha meteoru:
| Počátečnà výška: | 79,6 km |
| Konečná výška: | 73,4 km |
| Počátečnà poloha: | 59,995N 11,997E |
| Konečná poloha: | 60,028N 11,988E |
| Směr: | 351,7° |
| Sklon: | 59,4° |
| VstupnĂ rychlost: | 36,9 km/s |
| Rektascenze radiantu: | 11:43 (176,0°) |
| Deklinace radiantu: | 28,9° |
| MeteorickĂ˝ roj: | sporadickĂ˝ |
|
Elementy dráhy meteoroidu:
| Vzdálenost v periheliu: | 0,843 AU |
| Excentricita: | 2,304 |
| Sklon dráhy: | 17,3° |
| Délka vzestupného uzlu: | 17,7° |
| Argument perihelia: | 219,4° |
| Střednà anomálie: | -36,3° |
| Epocha: | 2026 APR 07 21:35:09 |
|