🇳🇴 🇬🇧 🇩🇪 🇨🇿 🇫🇮

Meteor over Skotterud 2026-04-07 21:35:09 UTC

KML file  |  Interactive map

The map shows the bearings for the meteor. The lighter lines show the directions from the observation sites at the meteor's appearance, and the darker lines show where it was last seen. The blue arrow indicates the visible path of the meteor.

static map
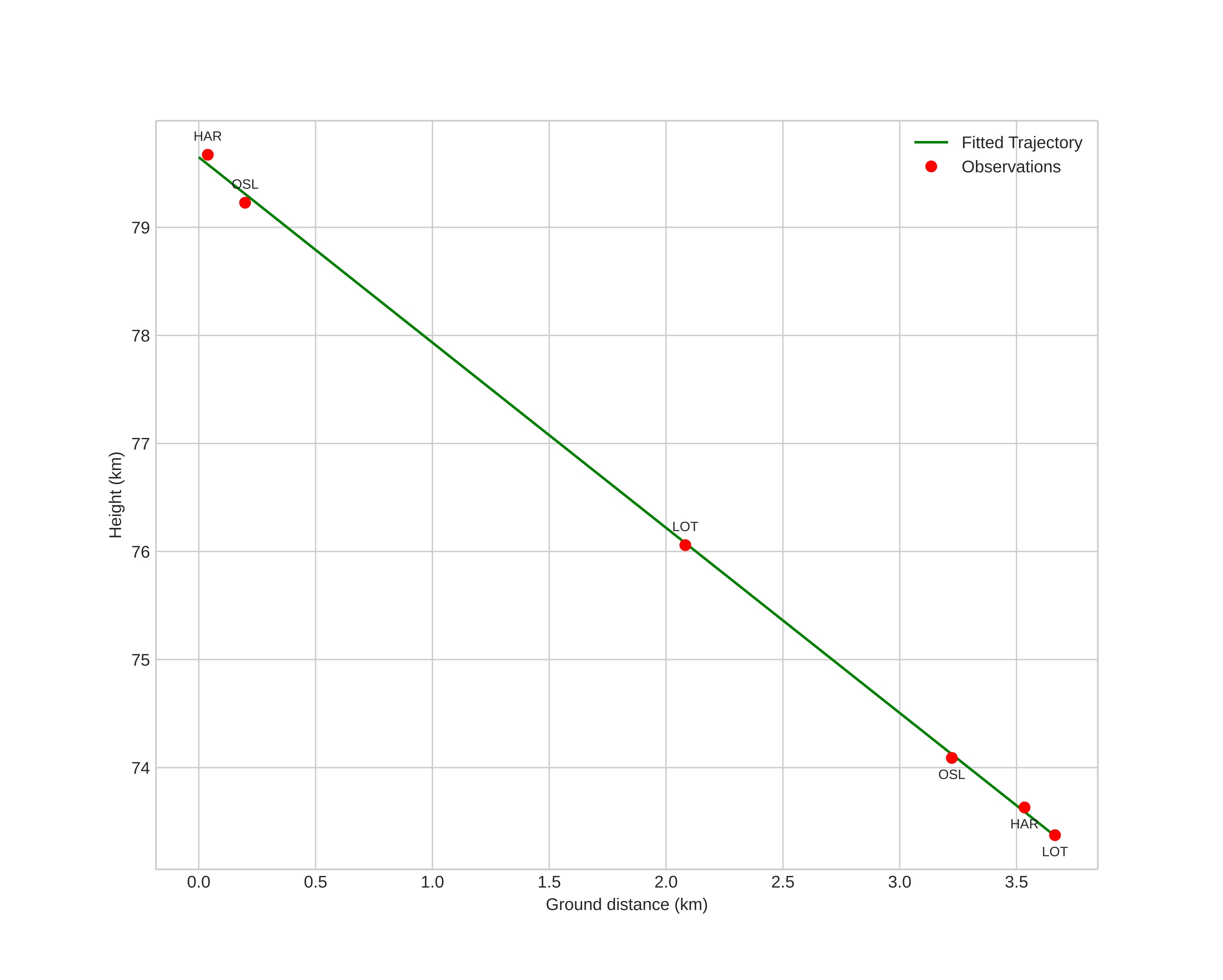
height profile
wind profile
Meteor's Atmospheric Trajectory:
Start height: 79.6 km
End height: 73.4 km
Start position: 59.995N 11.997E
End position: 60.028N 11.988E
Direction: 351.7°
Inclination angle: 59.4°
Entry speed: 36.9 km/s
Radiant R.A.: 11:43 (176.0°)
Radiant Dec.: 28.9°
Meteor Shower: sporadic
Meteoroid's Orbital Elements:
Perihelion distance: 0.843 AU
Eccentricity: 2.304
Inclination: 17.3°
Long. of Asc. Node: 17.7°
Argument of Perihelion: 219.4°
Mean Anomaly: -36.3°
Epoch: 2026 APR 07 21:35:09
orbit plot

Non-interactive plot | Interactive plot

position vs time
speed and acceleration

Harestua (HAR) cam7


preview
Videos
• Gnomonic
• Gnomonic with coordinates
• Original
• Original with coordinates
Images
• Gnomonic
• Gnomonic with coordinates
• Original
• Original with coordinates
Text Files
• Detection
• Observation
• Coordinates
• Log
Brightness

Loten (LOT) cam4


preview
Videos
• Gnomonic
• Gnomonic with coordinates
• Original
• Original with coordinates
Images
• Gnomonic
• Gnomonic with coordinates
• Original
• Original with coordinates
Text Files
• Detection
• Observation
• Coordinates
• Log
Brightness

Voksenlia (OSL) cam6


preview
Videos
• Gnomonic
• Gnomonic with coordinates
• Original
• Original with coordinates
Images
• Gnomonic
• Gnomonic with coordinates
• Original
• Original with coordinates
Text Files
• Detection
• Observation
• Coordinates
• Log
Brightness