🇳🇴 🇬🇧 🇩🇪 🇨🇿 🇫🇮

Meteor Gullspångin yllä 2026-04-08 00:09:53 UTC

KML-tiedosto  |  Interaktiivinen kartta

Kartta näyttää meteorin suuntahavainnot. Vaaleammat viivat näyttävät suunnat havaintoasemilta meteorin ilmestyessä, ja tummemmat viivat näyttävät, missä se viimeksi nähtiin. Sininen nuoli näyttää meteorin näkyvän lennon.

static map
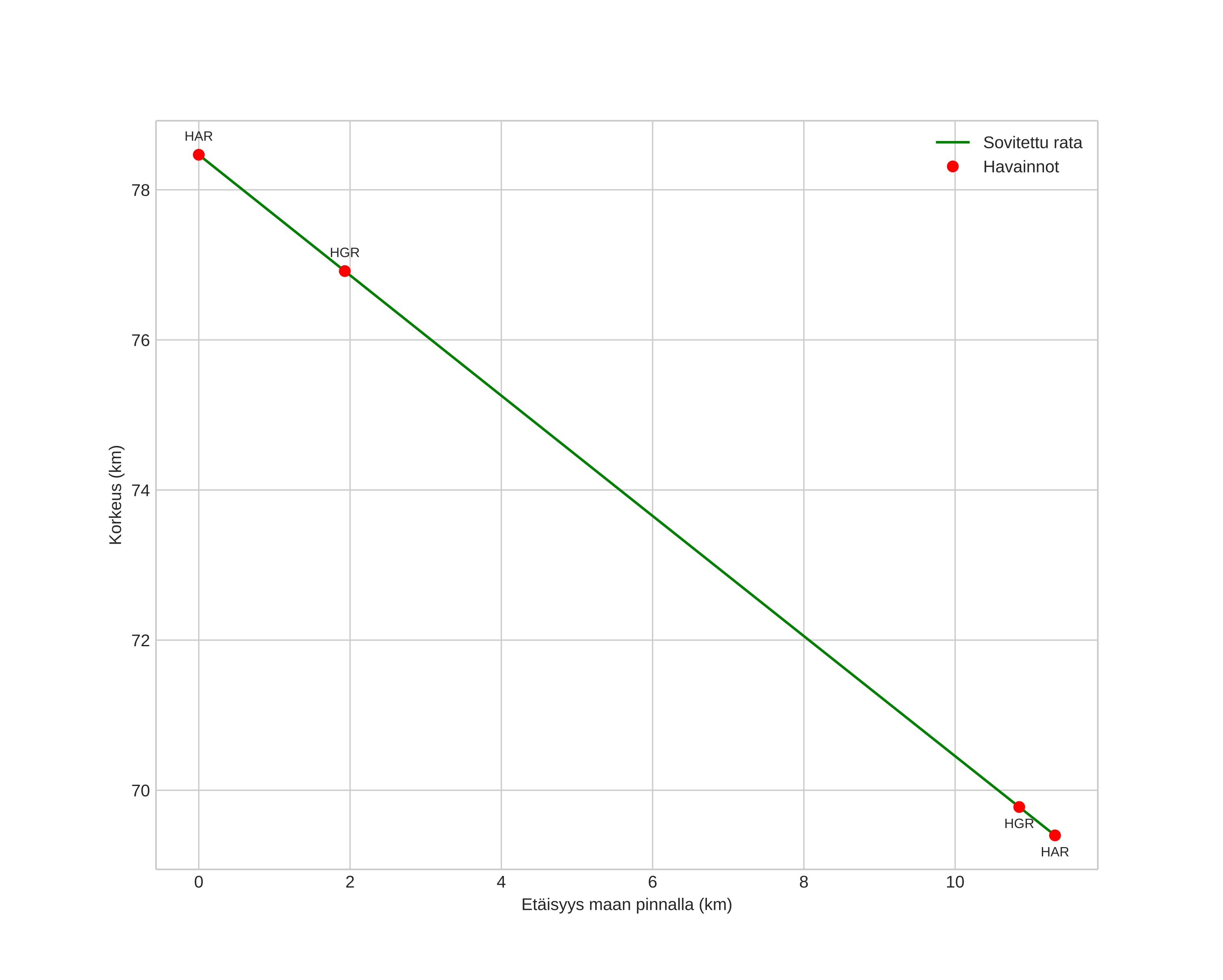
height profile
Meteorin ilmakehärata:
Alkukorkeus: 78,5 km
Loppukorkeus: 69,4 km
Alkupiste: 58,930N 13,804E
Loppupiste: 59,020N 13,894E
Suunta: 26,9°
Kallistuskulma: 38,8°
Tulonopeus: 23,2 km/s
Radiantin R,A,: 12:38 (189,7°)
Radiantin Dekl,: 6,9°
Meteoriparvi: Sporadinen
Meteoroidin rataelementit:
Perihelietäisyys: 0,726 AU
Eksentrisyys: 0,800
Inklinaatio: 6,1°
Nousevan solmun pituus: 17,8°
Perihelin argumentti: 247,6°
Keskianomalia: 354,3°
Epookki: 2026 APR 08 00:09:53
orbit plot

Ei-interaktiivinen kuvaaja | Interaktiivinen kuvaaja

position vs time
speed and acceleration

Hagar (HGR) cam4


preview
Videot:
• Gnomoninen
• Gnomoninen koordinaateilla
• Alkuperäinen
• Alkuperäinen koordinaateilla
Kuvat:
• Gnomoninen
• Gnomoninen koordinaateilla
• Alkuperäinen
• Alkuperäinen koordinaateilla
Tekstitiedostot:
• Havaintoraportti
• Observaatio
• Koordinaatit
• Loki
Kirkkaus

Harestua (HAR) cam3


preview
Videot:
• Gnomoninen
• Gnomoninen koordinaateilla
• Alkuperäinen
• Alkuperäinen koordinaateilla
Kuvat:
• Gnomoninen
• Gnomoninen koordinaateilla
• Alkuperäinen
• Alkuperäinen koordinaateilla
Tekstitiedostot:
• Havaintoraportti
• Observaatio
• Koordinaatit
• Loki
Kirkkaus