🇳🇴 🇬🇧 🇩🇪 🇨🇿 🇫🇮

Meteor Elverumin yllä 2026-04-08 01:30:47 UTC

KML-tiedosto  |  Interaktiivinen kartta

Kartta näyttää meteorin suuntahavainnot. Vaaleammat viivat näyttävät suunnat havaintoasemilta meteorin ilmestyessä, ja tummemmat viivat näyttävät, missä se viimeksi nähtiin. Sininen nuoli näyttää meteorin näkyvän lennon.

static map
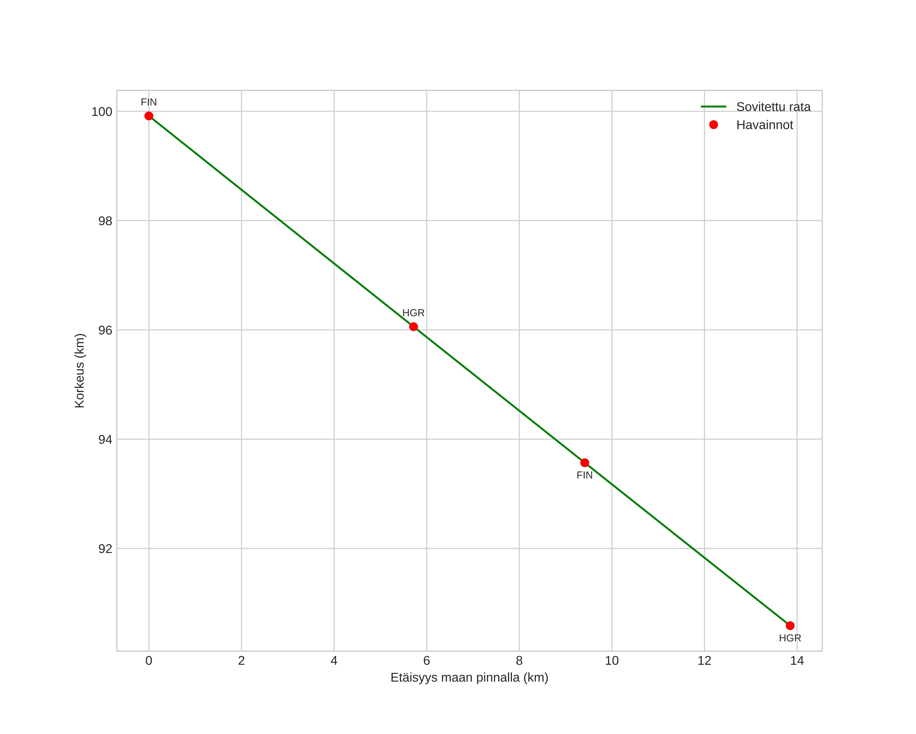
height profile
Meteorin ilmakehärata:
Alkukorkeus: 99,9 km
Loppukorkeus: 90,6 km
Alkupiste: 61,090N 12,083E
Loppupiste: 61,115N 11,830E
Suunta: 281,3°
Kallistuskulma: 33,9°
Tulonopeus: 35,1 km/s
Radiantin R,A,: 19:38 (294,5°)
Radiantin Dekl,: 22,8°
Meteoriparvi: Sporadinen
Meteoroidin rataelementit:
Perihelietäisyys: 0,452 AU
Eksentrisyys: 0,403
Inklinaatio: 74,2°
Nousevan solmun pituus: 17,9°
Perihelin argumentti: 24,8°
Keskianomalia: 128,8°
Epookki: 2026 APR 08 01:30:47
orbit plot

Ei-interaktiivinen kuvaaja | Interaktiivinen kuvaaja

position vs time
speed and acceleration

Finnskogen (FIN) cam6


preview
Videot:
• Gnomoninen
• Gnomoninen koordinaateilla
• Alkuperäinen
• Alkuperäinen koordinaateilla
Kuvat:
• Gnomoninen
• Gnomoninen koordinaateilla
• Alkuperäinen
• Alkuperäinen koordinaateilla
Tekstitiedostot:
• Havaintoraportti
• Observaatio
• Koordinaatit
• Loki
Kirkkaus

Hagar (HGR) cam3


preview
Videot:
• Gnomoninen
• Gnomoninen koordinaateilla
• Alkuperäinen
• Alkuperäinen koordinaateilla
Kuvat:
• Gnomoninen
• Gnomoninen koordinaateilla
• Alkuperäinen
• Alkuperäinen koordinaateilla
Tekstitiedostot:
• Havaintoraportti
• Observaatio
• Koordinaatit
• Loki
Kirkkaus