🇳🇴 🇬🇧 🇩🇪 🇨🇿 🇫🇮

Meteor, poloha: Ørje 2026-04-08 02:46:48 UTC

Soubor KML  |  Interaktivní mapa

Mapa zobrazuje dráhy meteoru. Světlejší čáry ukazují směry od pozorovacích stanic při objevení se meteoru a tmavší čáry, kde byl naposledy viděn. Modrá šipka značí viditelnou dráhu meteoru.

static map
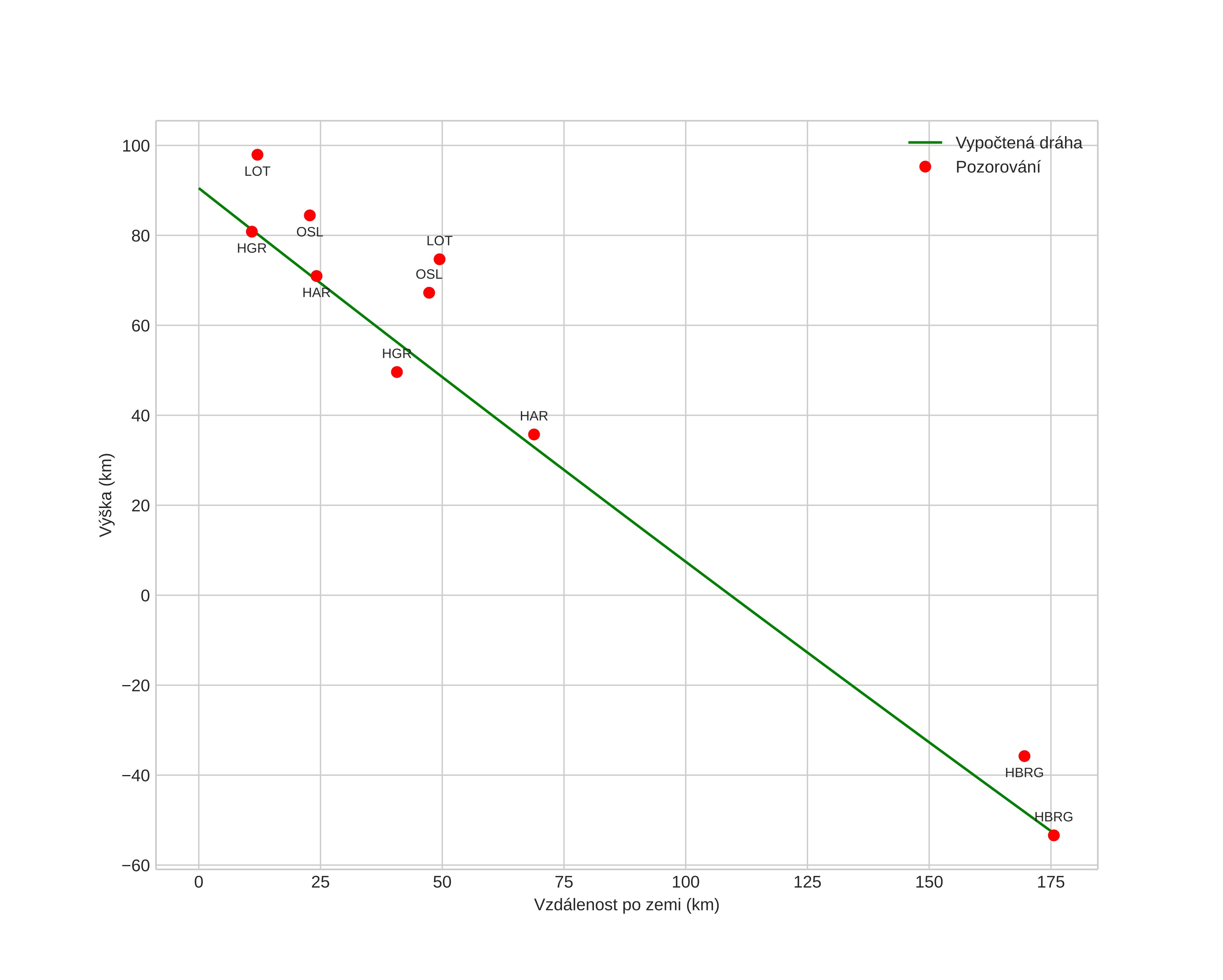
height profile
Atmosférická dráha meteoru:
Počáteční výška: 90,5 km
Konečná výška: -53,1 km
Počáteční poloha: 61,014N 10,249E
Konečná poloha: 59,610N 11,717E
Směr: 152,0°
Sklon: 39,2°
orbit plot

Neinteraktivní graf | Interaktivní graf

position vs time
speed and acceleration