🇳🇴 🇬🇧 🇩🇪 🇨🇿 🇫🇮

Meteor over Maura 2026-04-10 00:49:29 UTC

KML-fil  |  Interaktivt kart

Kartet viser peilingene for meteoren. De lysere linjene viser retningene fra observasjonsstedene for meteorens tilsynekomst, og de mørkere linjene viser hvor den sist kunne sees. Den blå pila viser meteorens synlige ferd.

static map
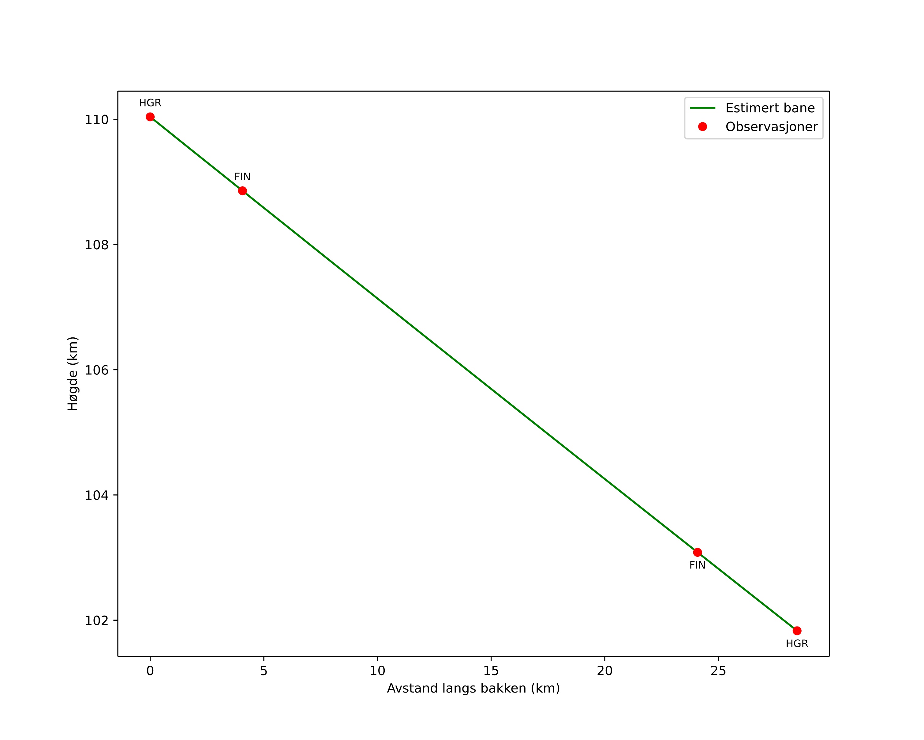
height profile
Meteorens atmosfæriske bane:
Starthøgde: 110,0 km
Slutthøgde: 101,8 km
Startposisjon: 60,227N 11,432E
Sluttposisjon: 60,314N 10,947E
Retning: 290,2°
Fallvinkel: 16,1°
Inngangshastighet: 67,6 km/s
Radiantens rektascensjon: 19:06 (286,6°)
Radiantens deklinasjon: 3,8°
Meteorsverm: sporadisk
Meteoroidens baneelement:
Perihelavstand: 1,001 AU
Eksentrisitet: 0,982
Inklinasjon: 135,6°
Knutelengde: 19,8°
Perihelargument: 182,4°
Midlere anomali: 360,0°
Epoke: 2026 APR 10 00:49:29
orbit plot

Ikke-interaktivt plott | Interaktivt plott

position vs time
speed and acceleration

Finnskogen (FIN) cam4


preview
Videoer
• Gnomonisk
• Gnomonisk med koordinater
• Original
• Original med koordinater
Bilder
• Gnomonisk
• Gnomonisk med koordinater
• Original
• Original med koordinater
Tekstfiler
• Deteksjon
• Observasjon
• Koordinater
• Logg
Lysstyrke

Hagar (HGR) cam6


preview
Videoer
• Gnomonisk
• Gnomonisk med koordinater
• Original
• Original med koordinater
Bilder
• Gnomonisk
• Gnomonisk med koordinater
• Original
• Original med koordinater
Tekstfiler
• Deteksjon
• Observasjon
• Koordinater
• Logg
Lysstyrke