🇳🇴 🇬🇧 🇩🇪 🇨🇿 🇫🇮

Meteor, poloha: Ørje 2026-04-10 01:13:39 UTC

Soubor KML  |  Interaktivní mapa

Mapa zobrazuje dráhy meteoru. Světlejší čáry ukazují směry od pozorovacích stanic při objevení se meteoru a tmavší čáry, kde byl naposledy viděn. Modrá šipka značí viditelnou dráhu meteoru.

static map
height profile
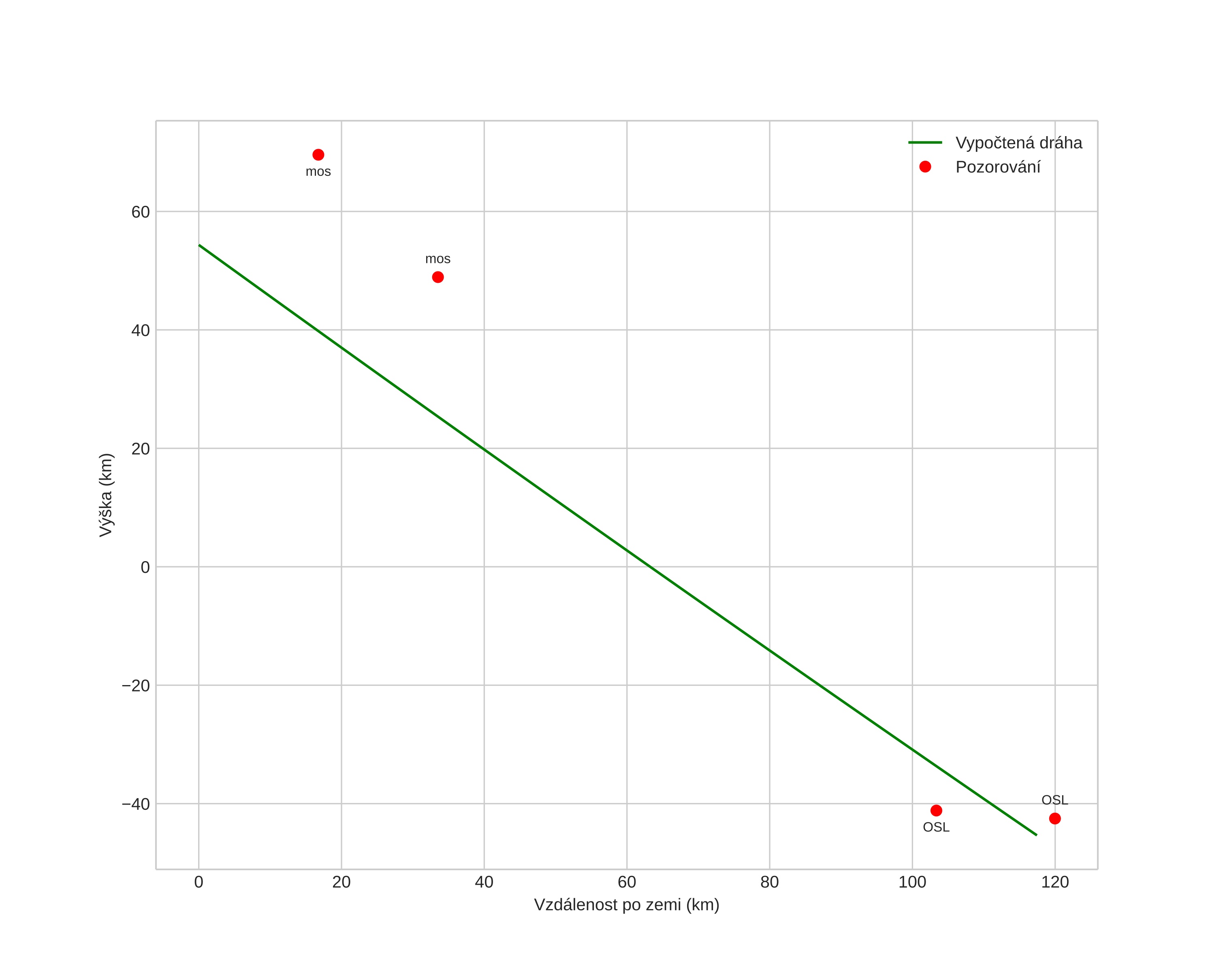
Atmosférická dráha meteoru:
Počáteční výška: 54,4 km
Konečná výška: -45,4 km
Počáteční poloha: 60,066N 9,863E
Konečná poloha: 59,454N 11,571E
Směr: 124,7°
Sklon: 40,4°
Vstupní rychlost: 0,1 km/s
orbit plot

Neinteraktivní graf | Interaktivní graf

position vs time
speed and acceleration