🇳🇴 🇬🇧 🇩🇪 🇨🇿 🇫🇮

Meteor Hokksundin yllä 2026-04-10 01:23:10 UTC

KML-tiedosto  |  Interaktiivinen kartta

Kartta näyttää meteorin suuntahavainnot. Vaaleammat viivat näyttävät suunnat havaintoasemilta meteorin ilmestyessä, ja tummemmat viivat näyttävät, missä se viimeksi nähtiin. Sininen nuoli näyttää meteorin näkyvän lennon.

static map
height profile
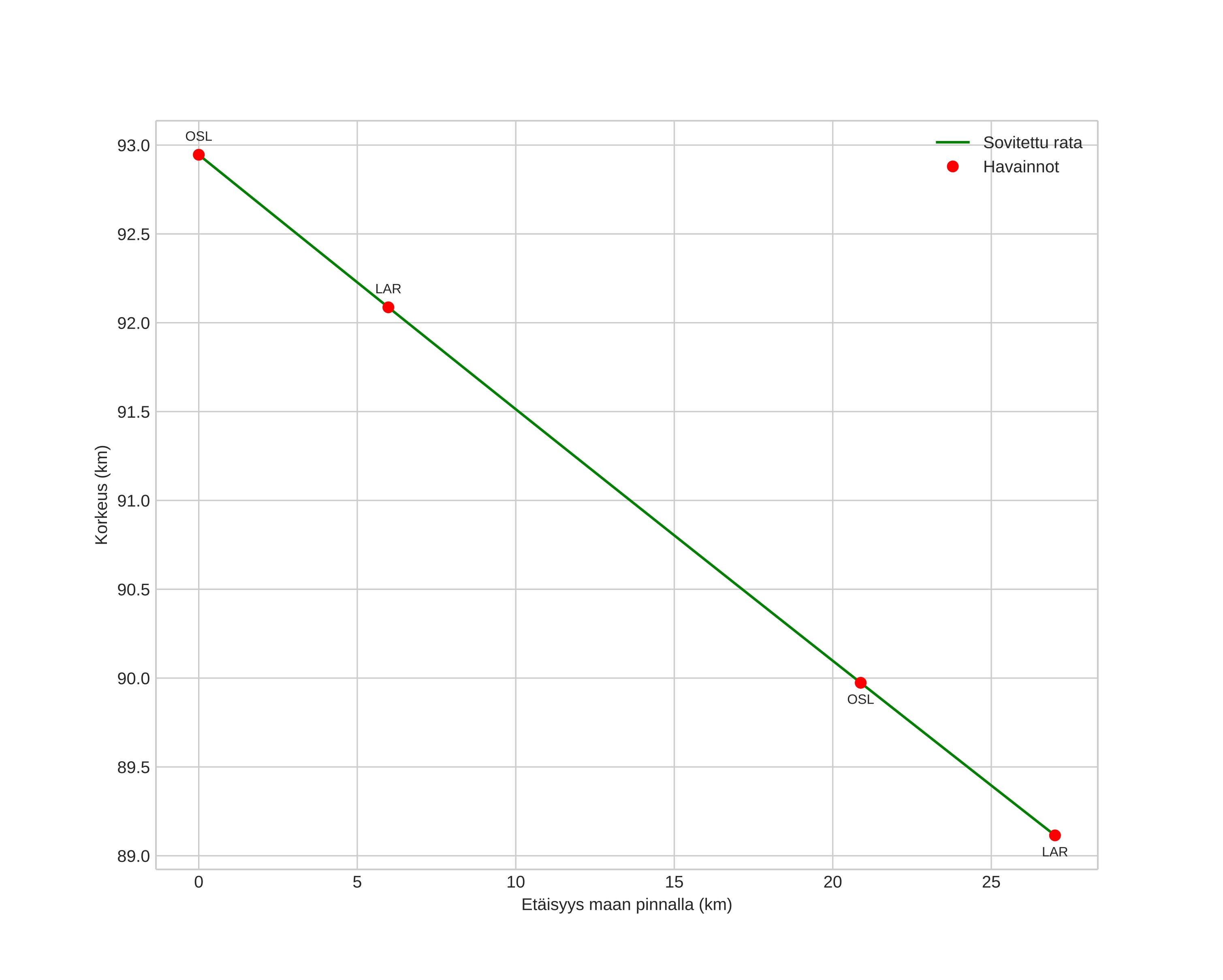
Meteorin ilmakehärata:
Alkukorkeus: 92,9 km
Loppukorkeus: 89,1 km
Alkupiste: 60,042N 10,193E
Loppupiste: 59,851N 9,894E
Suunta: 218,2°
Kallistuskulma: 8,0°
Tulonopeus: 22,0 km/s
Radiantin R,A,: 00:27 (6,9°)
Radiantin Dekl,: 23,7°
Meteoriparvi: Sporadinen
Meteoroidin rataelementit:
Perihelietäisyys: 0,602 AU
Eksentrisyys: 0,602
Inklinaatio: 12,1°
Nousevan solmun pituus: 19,8°
Perihelin argumentti: 86,4°
Keskianomalia: 27,3°
Epookki: 2026 APR 10 01:23:10
orbit plot

Ei-interaktiivinen kuvaaja | Interaktiivinen kuvaaja

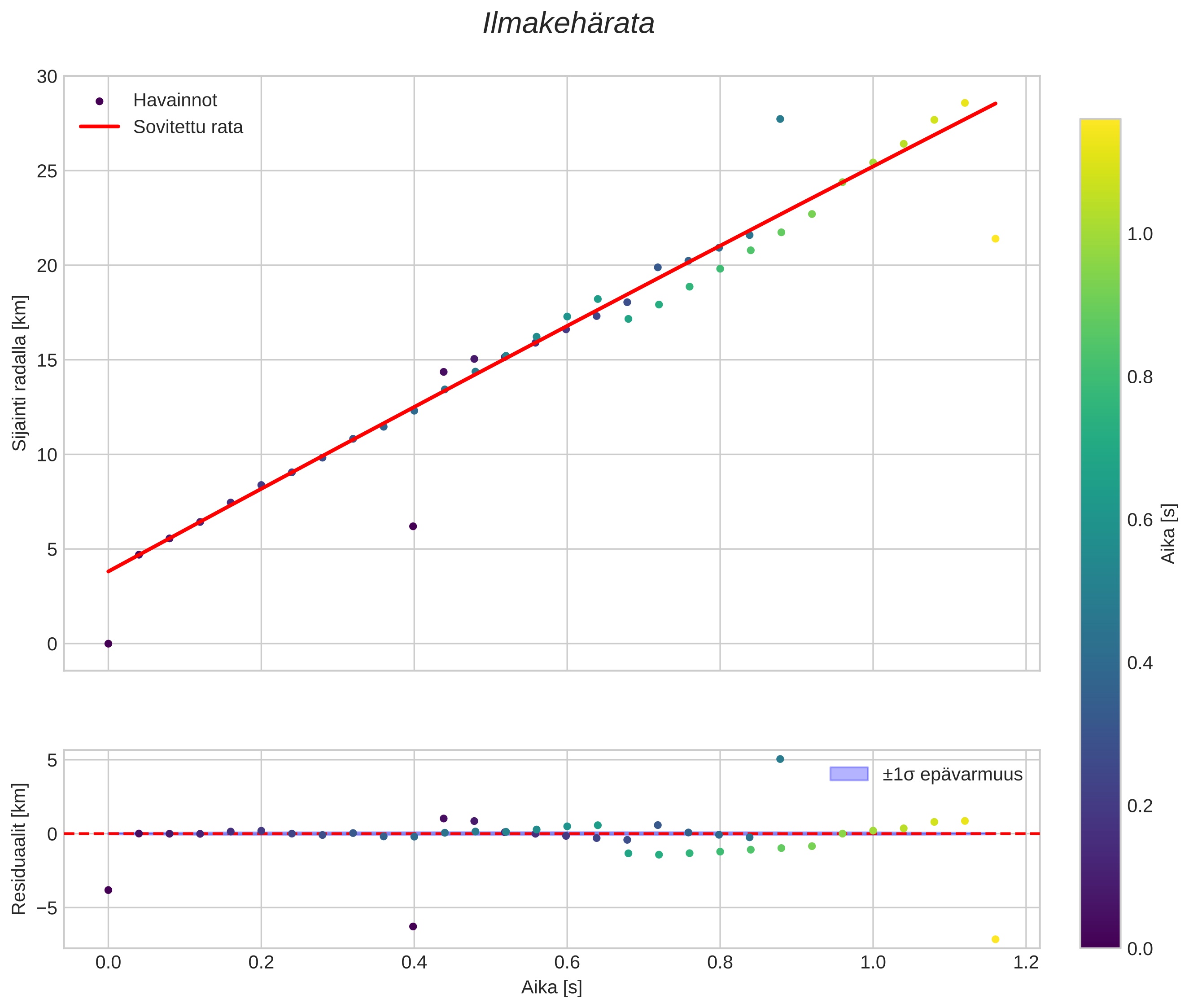
position vs time
speed and acceleration

Larvik (LAR) cam1


preview
Videot:
• Gnomoninen
• Gnomoninen koordinaateilla
• Alkuperäinen
• Alkuperäinen koordinaateilla
Kuvat:
• Gnomoninen
• Gnomoninen koordinaateilla
• Alkuperäinen
• Alkuperäinen koordinaateilla
Tekstitiedostot:
• Havaintoraportti
• Observaatio
• Koordinaatit
• Loki
Kirkkaus

Voksenlia (OSL) cam7


preview
Videot:
• Gnomoninen
• Gnomoninen koordinaateilla
• Alkuperäinen
• Alkuperäinen koordinaateilla
Kuvat:
• Gnomoninen
• Gnomoninen koordinaateilla
• Alkuperäinen
• Alkuperäinen koordinaateilla
Tekstitiedostot:
• Havaintoraportti
• Observaatio
• Koordinaatit
• Loki
Kirkkaus