🇳🇴 🇬🇧 🇩🇪 🇨🇿 🇫🇮

Meteor, poloha: Moss 2026-04-10 01:47:33 UTC

Soubor KML  |  Interaktivní mapa

Mapa zobrazuje dráhy meteoru. Světlejší čáry ukazují směry od pozorovacích stanic při objevení se meteoru a tmavší čáry, kde byl naposledy viděn. Modrá šipka značí viditelnou dráhu meteoru.

static map
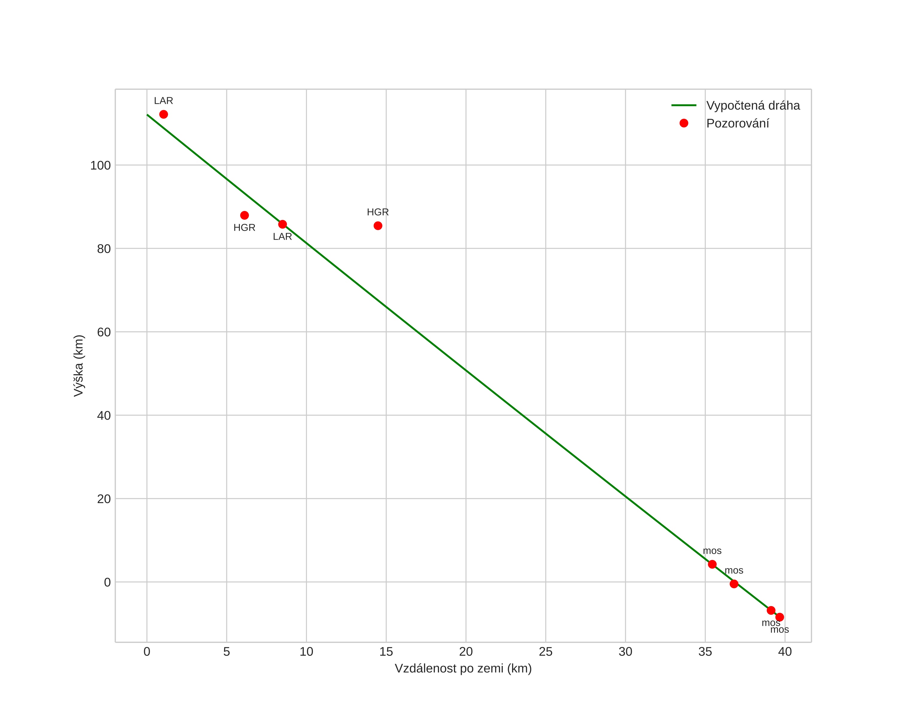
height profile
wind profile
Atmosférická dráha meteoru:
Počáteční výška: 112,1 km
Konečná výška: -8,4 km
Počáteční poloha: 59,708N 11,009E
Konečná poloha: 59,409N 10,625E
Směr: 213,2°
Sklon: 71,8°
position vs time
speed and acceleration