🇳🇴 🇬🇧 🇩🇪 🇨🇿 🇫🇮

Meteor, poloha: Moss 2026-04-10 01:54:53 UTC

Soubor KML  |  Interaktivní mapa

Mapa zobrazuje dráhy meteoru. Světlejší čáry ukazují směry od pozorovacích stanic při objevení se meteoru a tmavší čáry, kde byl naposledy viděn. Modrá šipka značí viditelnou dráhu meteoru.

static map
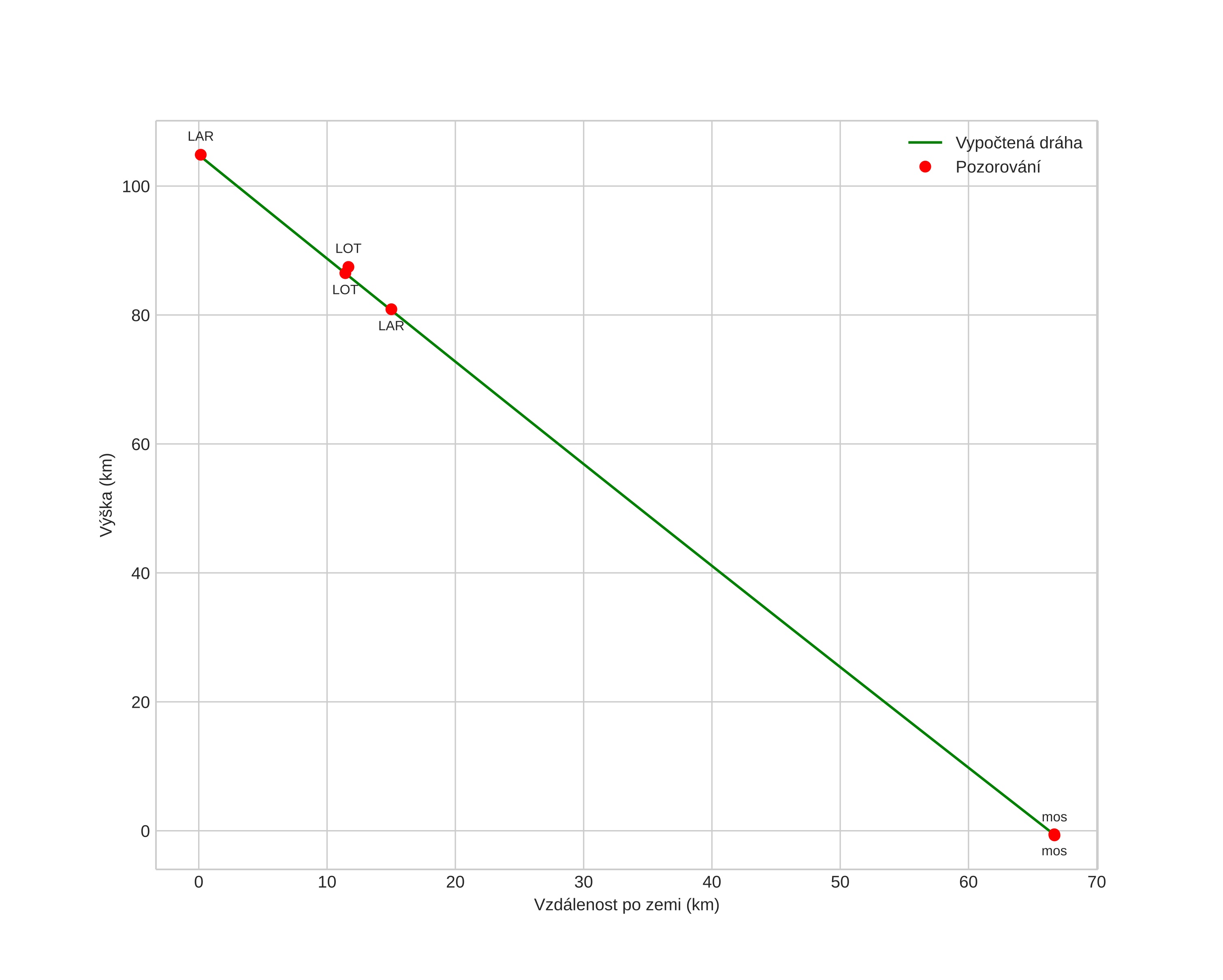
height profile
wind profile
Atmosférická dráha meteoru:
Počáteční výška: 104,8 km
Konečná výška: -0,7 km
Počáteční poloha: 59,986N 11,128E
Konečná poloha: 59,432N 10,667E
Směr: 203,0°
Sklon: 57,7°
Vstupní rychlost: 1,1 km/s
position vs time
speed and acceleration