🇳🇴 🇬🇧 🇩🇪 🇨🇿 🇫🇮

Meteor over Storfors 2026-04-10 02:22:11 UTC

KML-fil  |  Interaktivt kart

Kartet viser peilingene for meteoren. De lysere linjene viser retningene fra observasjonsstedene for meteorens tilsynekomst, og de mørkere linjene viser hvor den sist kunne sees. Den blå pila viser meteorens synlige ferd.

static map
height profile
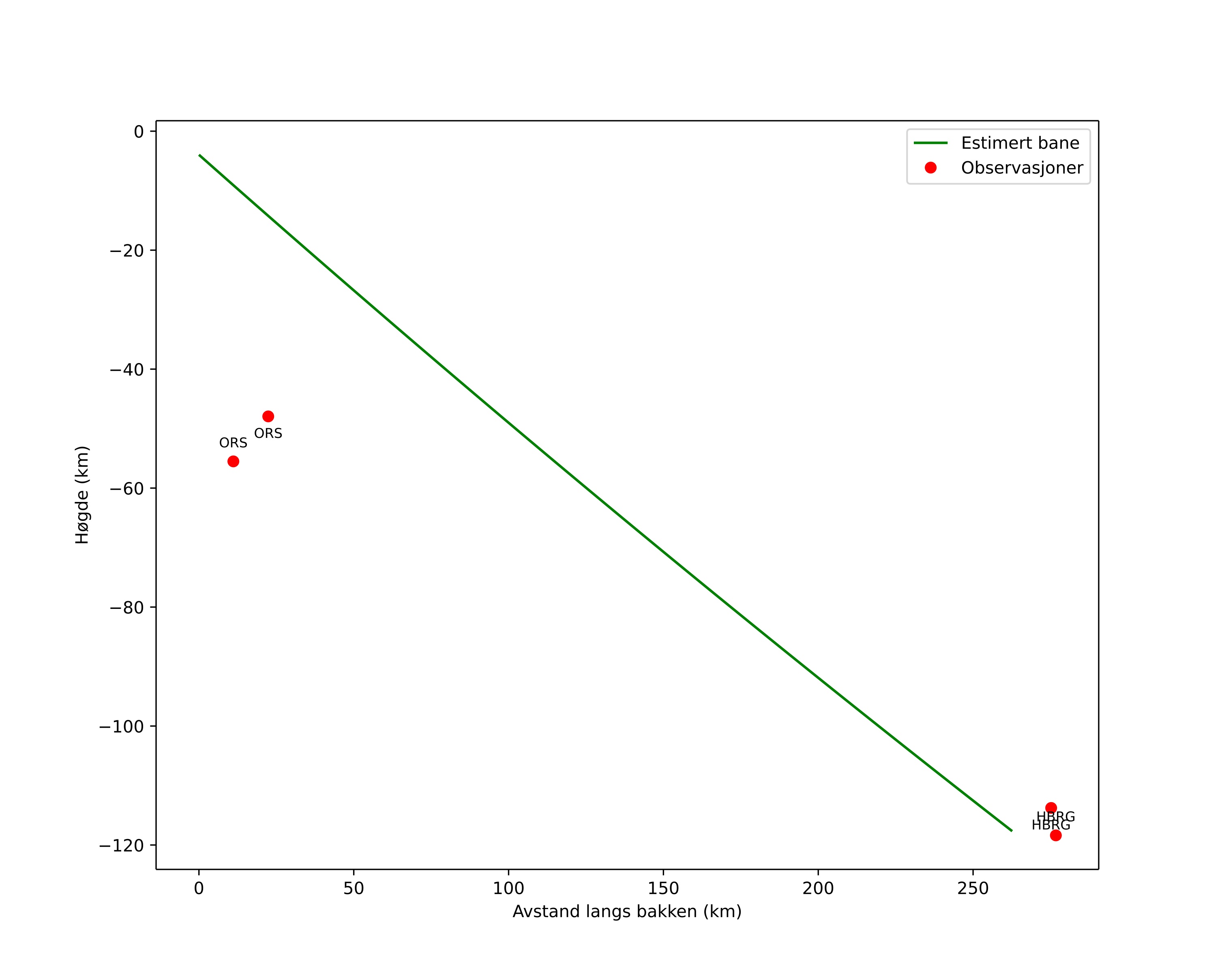
Meteorens atmosfæriske bane:
Starthøgde: -4,0 km
Slutthøgde: -117,7 km
Startposisjon: 59,954N 9,556E
Sluttposisjon: 59,476N 14,144E
Retning: 99,7°
Fallvinkel: 23,4°
Inngangshastighet: 0,9 km/s
position vs time
speed and acceleration

Orsta (ORS) cam4


preview
Videoer
• Gnomonisk
• Gnomonisk med koordinater
• Original
• Original med koordinater
Bilder
• Gnomonisk
• Gnomonisk med koordinater
• Original
• Original med koordinater
Tekstfiler
• Deteksjon
• Observasjon
• Koordinater
• Logg
Lysstyrke