🇳🇴 🇬🇧 🇩🇪 🇨🇿 🇫🇮

Meteor Tranbyn yllä 2026-04-11 21:09:41 UTC

KML-tiedosto  |  Interaktiivinen kartta

Kartta näyttää meteorin suuntahavainnot. Vaaleammat viivat näyttävät suunnat havaintoasemilta meteorin ilmestyessä, ja tummemmat viivat näyttävät, missä se viimeksi nähtiin. Sininen nuoli näyttää meteorin näkyvän lennon.

static map
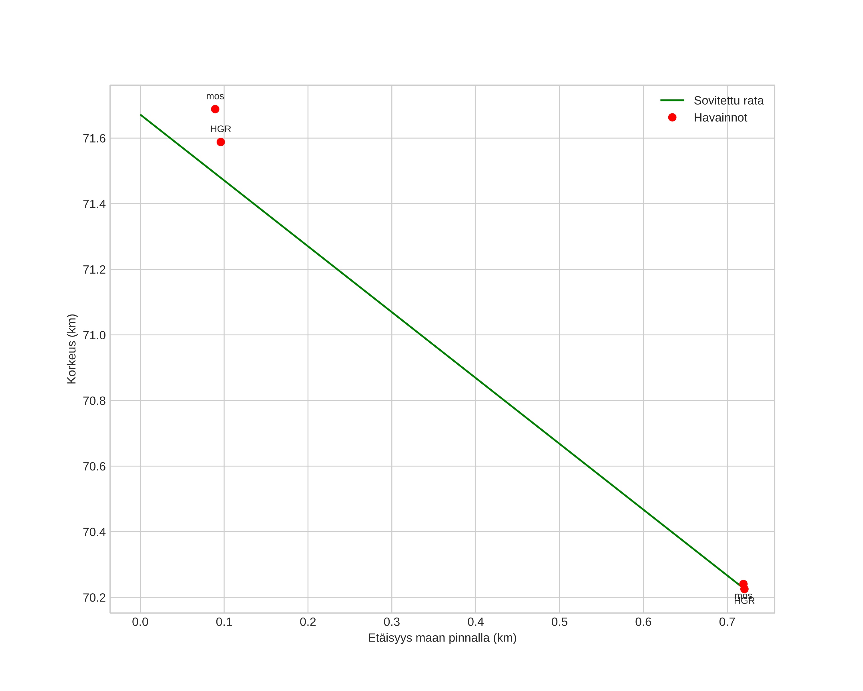
height profile
Meteorin ilmakehärata:
Alkukorkeus: 71,7 km
Loppukorkeus: 70,2 km
Alkupiste: 59,810N 10,284E
Loppupiste: 59,816N 10,287E
Suunta: 10,7°
Kallistuskulma: 64,3°
Tulonopeus: 11,8 km/s
Radiantin R,A,: 10:33 (158,5°)
Radiantin Dekl,: 21,8°
Meteoriparvi: Sporadinen
Meteoroidin rataelementit:
Perihelietäisyys: 0,991 AU
Eksentrisyys: 0,229
Inklinaatio: 1,5°
Nousevan solmun pituus: 21,7°
Perihelin argumentti: 199,9°
Keskianomalia: 347,7°
Epookki: 2026 APR 11 21:09:41
orbit plot

Ei-interaktiivinen kuvaaja | Interaktiivinen kuvaaja

position vs time
speed and acceleration

Hagar (HGR) cam5


preview
Videot:
• Gnomoninen
• Gnomoninen koordinaateilla
• Alkuperäinen
• Alkuperäinen koordinaateilla
Kuvat:
• Gnomoninen
• Gnomoninen koordinaateilla
• Alkuperäinen
• Alkuperäinen koordinaateilla
Tekstitiedostot:
• Havaintoraportti
• Observaatio
• Koordinaatit
• Loki
Kirkkaus

Moss (mos) cam6


preview
Videot:
• Gnomoninen
• Gnomoninen koordinaateilla
• Alkuperäinen
• Alkuperäinen koordinaateilla
Kuvat:
• Gnomoninen
• Gnomoninen koordinaateilla
• Alkuperäinen
• Alkuperäinen koordinaateilla
Tekstitiedostot:
• Havaintoraportti
• Observaatio
• Koordinaatit
• Loki
Kirkkaus