🇳🇴 🇬🇧 🇩🇪 🇨🇿 🇫🇮

Meteor over Oppdal 2026-04-12 00:35:11 UTC

KML file  |  Interactive map

The map shows the bearings for the meteor. The lighter lines show the directions from the observation sites at the meteor's appearance, and the darker lines show where it was last seen. The blue arrow indicates the visible path of the meteor.

static map
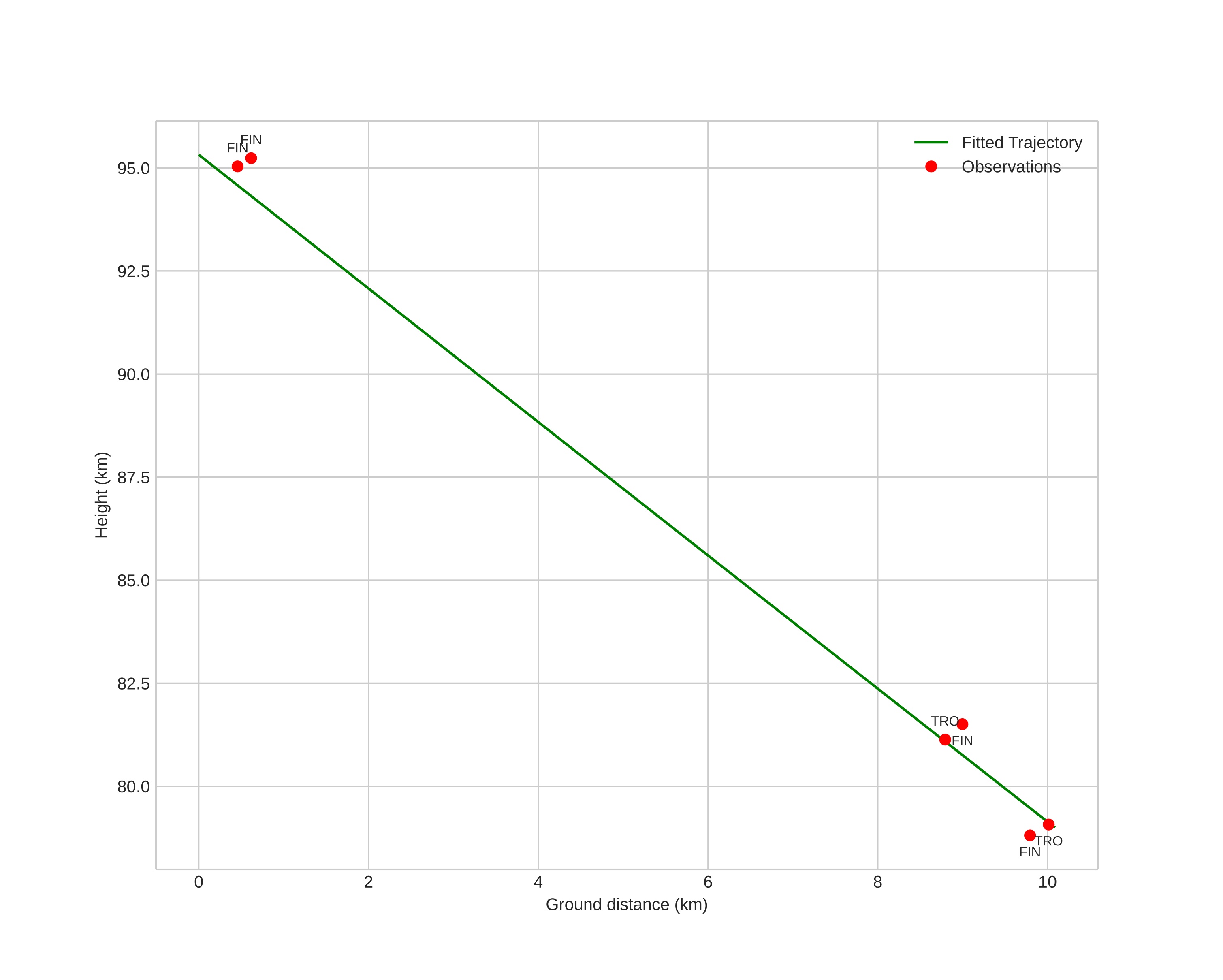
height profile
Meteor's Atmospheric Trajectory:
Start height: 95.3 km
End height: 79.0 km
Start position: 62.567N 9.482E
End position: 62.479N 9.429E
Direction: 195.6°
Inclination angle: 58.2°
Entry speed: 50.3 km/s
Radiant R.A.: 22:11 (333.0°)
Radiant Dec.: 81.1°
Meteor Shower: sporadic
Meteoroid's Orbital Elements:
Perihelion distance: 0.976 AU
Eccentricity: 3.502
Inclination: 47.4°
Long. of Asc. Node: 21.8°
Argument of Perihelion: 165.1°
Mean Anomaly: 28.2°
Epoch: 2026 APR 12 00:35:11
orbit plot

Non-interactive plot | Interactive plot

position vs time
speed and acceleration

Finnskogen (FIN) cam1


preview
Videos
• Gnomonic
• Gnomonic with coordinates
• Original
• Original with coordinates
Images
• Gnomonic
• Gnomonic with coordinates
• Original
• Original with coordinates
Text Files
• Detection
• Observation
• Coordinates
• Log
Brightness

Finnskogen (FIN) cam5


preview
Videos
• Gnomonic
• Gnomonic with coordinates
• Original
• Original with coordinates
Images
• Gnomonic
• Gnomonic with coordinates
• Original
• Original with coordinates
Text Files
• Detection
• Observation
• Coordinates
• Log
Brightness

Trondheim (TRO) cam4


preview
Videos
• Gnomonic
• Gnomonic with coordinates
• Original
• Original with coordinates
Images
• Gnomonic
• Gnomonic with coordinates
• Original
• Original with coordinates
Text Files
• Detection
• Observation
• Coordinates
• Log
Brightness