🇳🇴 🇬🇧 🇩🇪 🇨🇿 🇫🇮

Meteor over Grums 2026-04-12 23:03:36 UTC

KML-fil  |  Interaktivt kart

Kartet viser peilingene for meteoren. De lysere linjene viser retningene fra observasjonsstedene for meteorens tilsynekomst, og de mørkere linjene viser hvor den sist kunne sees. Den blå pila viser meteorens synlige ferd.

static map
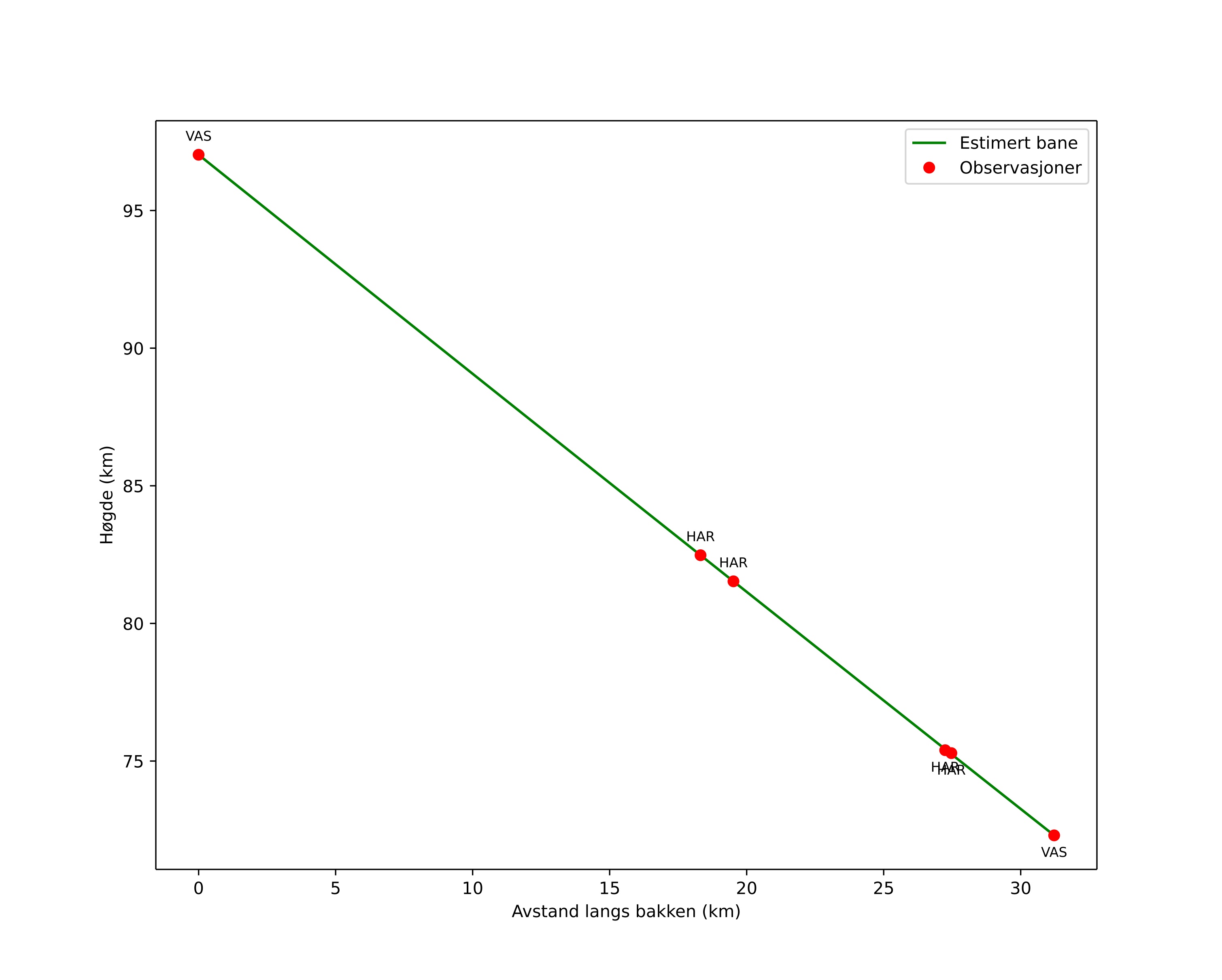
height profile
Meteorens atmosfæriske bane:
Starthøgde: 97,0 km
Slutthøgde: 72,3 km
Startposisjon: 59,289N 13,015E
Sluttposisjon: 59,569N 12,965E
Retning: 354,7°
Fallvinkel: 38,3°
Inngangshastighet: 23,4 km/s
Radiantens rektascensjon: 13:33 (203,4°)
Radiantens deklinasjon: 4,3°
Meteorsverm: sporadisk
Meteoroidens baneelement:
Perihelavstand: 0,644 AU
Eksentrisitet: 0,690
Inklinasjon: 8,6°
Knutelengde: 22,7°
Perihelargument: 262,8°
Midlere anomali: 344,8°
Epoke: 2026 APR 12 23:03:36
orbit plot

Ikke-interaktivt plott | Interaktivt plott

position vs time
speed and acceleration

Harestua (HAR) cam2


preview
Videoer
• Gnomonisk
• Gnomonisk med koordinater
• Original
• Original med koordinater
Bilder
• Gnomonisk
• Gnomonisk med koordinater
• Original
• Original med koordinater
Tekstfiler
• Deteksjon
• Observasjon
• Koordinater
• Logg
Lysstyrke

Harestua (HAR) cam3


preview
Videoer
• Gnomonisk
• Gnomonisk med koordinater
• Original
• Original med koordinater
Bilder
• Gnomonisk
• Gnomonisk med koordinater
• Original
• Original med koordinater
Tekstfiler
• Deteksjon
• Observasjon
• Koordinater
• Logg
Lysstyrke

Vasteras (VAS) cam5


preview
Videoer
• Gnomonisk
• Gnomonisk med koordinater
• Original
• Original med koordinater
Bilder
• Gnomonisk
• Gnomonisk med koordinater
• Original
• Original med koordinater
Tekstfiler
• Deteksjon
• Observasjon
• Koordinater
• Logg
Lysstyrke