🇳🇴 🇬🇧 🇩🇪 🇨🇿 🇫🇮

Meteor, poloha: Grums 2026-04-12 23:03:36 UTC

Soubor KML  |  InteraktivnĂ­ mapa

Mapa zobrazuje dráhy meteoru. Světlejší čáry ukazují směry od pozorovacích stanic při objevení se meteoru a tmavší čáry, kde byl naposledy viděn. Modrá šipka značí viditelnou dráhu meteoru.

static map
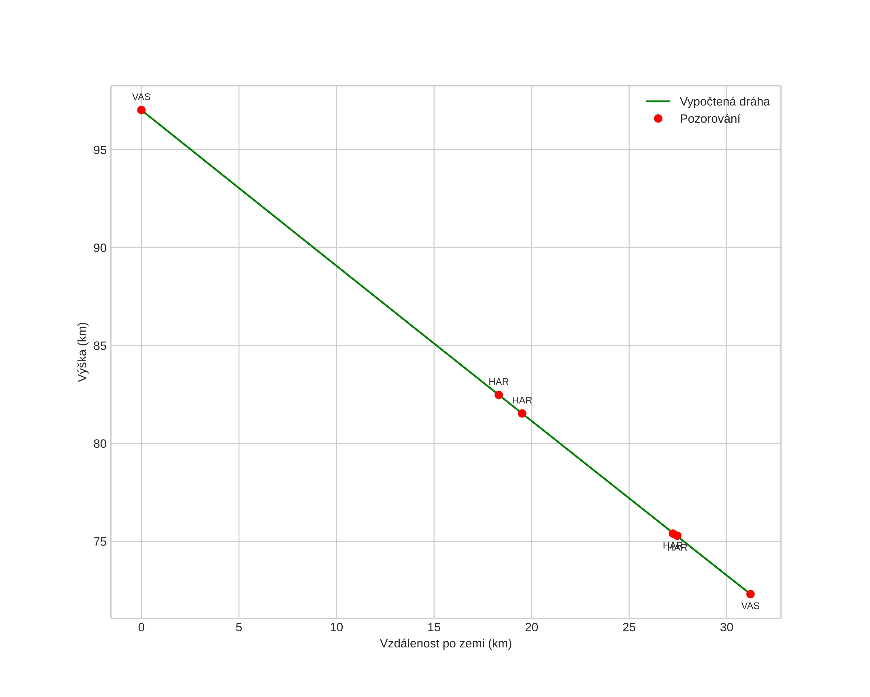
height profile
Atmosférická dráha meteoru:
Počáteční výška: 97,0 km
Konečná výška: 72,3 km
Počáteční poloha: 59,289N 13,015E
Konečná poloha: 59,569N 12,965E
Směr: 354,7°
Sklon: 38,3°
VstupnĂ­ rychlost: 23,4 km/s
Rektascenze radiantu: 13:33 (203,4°)
Deklinace radiantu: 4,3°
MeteorickĂ˝ roj: sporadickĂ˝
Elementy dráhy meteoroidu:
Vzdálenost v periheliu: 0,644 AU
Excentricita: 0,690
Sklon dráhy: 8,6°
Délka vzestupného uzlu: 22,7°
Argument perihelia: 262,8°
Střední anomálie: 344,8°
Epocha: 2026 APR 12 23:03:36
orbit plot

NeinteraktivnĂ­ graf | InteraktivnĂ­ graf

position vs time
speed and acceleration

Harestua (HAR) cam2


preview
Videa
• Gnomonický
• Gnomonická se souřadnicemi
• Původní
• Původní se souřadnicemi
Obrázky
• Gnomonický
• Gnomonická se souřadnicemi
• Původní
• Původní se souřadnicemi
Textové soubory
• Detekce
• Pozorování
• Souřadnice
• Protokol
Jasnost

Harestua (HAR) cam3


preview
Videa
• Gnomonický
• Gnomonická se souřadnicemi
• Původní
• Původní se souřadnicemi
Obrázky
• Gnomonický
• Gnomonická se souřadnicemi
• Původní
• Původní se souřadnicemi
Textové soubory
• Detekce
• Pozorování
• Souřadnice
• Protokol
Jasnost

Vasteras (VAS) cam5


preview
Videa
• Gnomonický
• Gnomonická se souřadnicemi
• Původní
• Původní se souřadnicemi
Obrázky
• Gnomonický
• Gnomonická se souřadnicemi
• Původní
• Původní se souřadnicemi
Textové soubory
• Detekce
• Pozorování
• Souřadnice
• Protokol
Jasnost