🇳🇴 🇬🇧 🇩🇪 🇨🇿 🇫🇮

Meteor over Sandefjord 2026-04-13 01:05:07 UTC

KML-fil  |  Interaktivt kart

Kartet viser peilingene for meteoren. De lysere linjene viser retningene fra observasjonsstedene for meteorens tilsynekomst, og de mørkere linjene viser hvor den sist kunne sees. Den blå pila viser meteorens synlige ferd.

static map
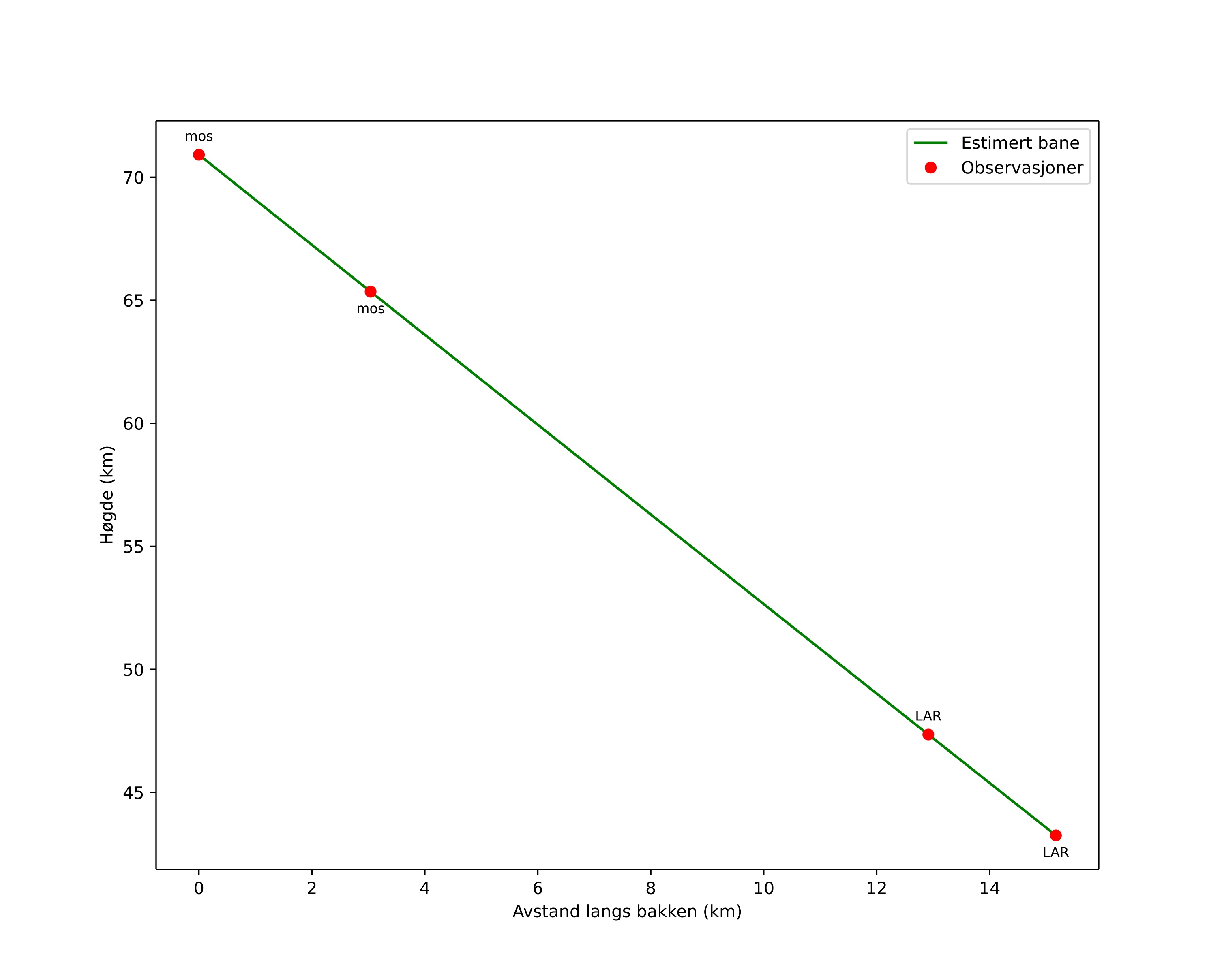
height profile
Meteorens atmosfæriske bane:
Starthøgde: 70,9 km
Slutthøgde: 43,3 km
Startposisjon: 59,022N 10,541E
Sluttposisjon: 58,991N 10,283E
Retning: 256,8°
Fallvinkel: 61,2°
Inngangshastighet: 26,1 km/s
Radiantens rektascensjon: 18:47 (281,9°)
Radiantens deklinasjon: 53,3°
Meteorsverm: sporadisk
Meteoroidens baneelement:
Perihelavstand: 0,999 AU
Eksentrisitet: 0,235
Inklinasjon: 43,7°
Knutelengde: 22,8°
Perihelargument: 169,0°
Midlere anomali: 6,6°
Epoke: 2026 APR 13 01:05:07
orbit plot

Ikke-interaktivt plott | Interaktivt plott

position vs time
speed and acceleration

Larvik (LAR) cam7


preview
Videoer
• Gnomonisk
• Gnomonisk med koordinater
• Original
• Original med koordinater
Bilder
• Gnomonisk
• Gnomonisk med koordinater
• Original
• Original med koordinater
Tekstfiler
• Deteksjon
• Observasjon
• Koordinater
• Logg
Lysstyrke

Moss (mos) cam7


preview
Videoer
• Gnomonisk
• Gnomonisk med koordinater
• Original
• Original med koordinater
Bilder
• Gnomonisk
• Gnomonisk med koordinater
• Original
• Original med koordinater
Tekstfiler
• Deteksjon
• Observasjon
• Koordinater
• Logg
Lysstyrke