🇳🇴 🇬🇧 🇩🇪 🇨🇿 🇫🇮

Meteor über Bruflat 2026-04-15 23:03:14 UTC

KML-Datei  |  Interaktive Karte

Die Karte zeigt die Peilungen für den Meteor. Die helleren Linien zeigen die Richtungen von den Beobachtungsorten beim Erscheinen des Meteors, und die dunkleren Linien, wo er zuletzt gesehen wurde. Der blaue Pfeil zeigt die sichtbare Bahn des Meteors.

static map
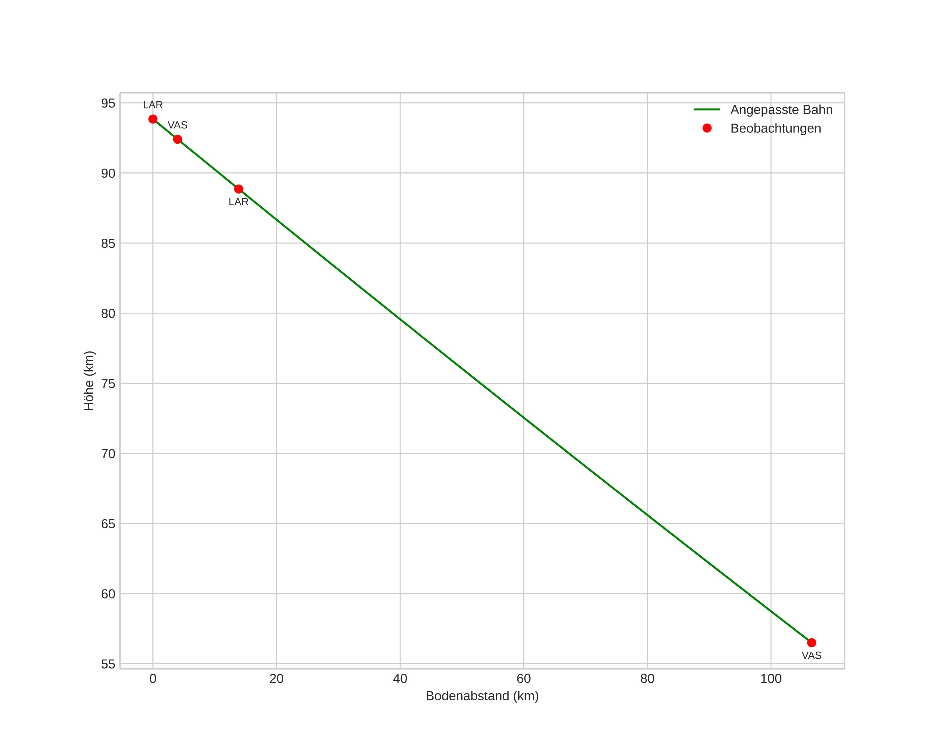
height profile
Atmosphärische Bahn des Meteors:
Anfangshöhe: 93,8 km
Endhöhe: 56,5 km
Startposition: 59,865N 10,263E
Endposition: 60,780N 9,690E
Richtung: 343,0°
Neigungswinkel: 19,3°
Eintrittsgeschwindigkeit: 32,2 km/s
Rektaszension des Radianten: 14:23 (215,9°)
Deklination des Radianten: -12,1°
Meteorstrom: sporadisch
Bahnelemente des Meteoroiden:
Periheldistanz: 0,337 AU
Exzentrizität: 0,856
Inklination: 2,6°
Länge des aufsteigenden Knotens: 25,7°
Argument des Perihels: 296,1°
Mittlere Anomalie: 348,4°
Epoche: 2026 APR 15 23:03:14
orbit plot

Nicht-interaktives Diagramm | Interaktives Diagramm

position vs time
speed and acceleration

Larvik (LAR) cam6


preview
Videos
• Gnomonisch
• Gnomonisch mit Koordinaten
• Original
• Original mit Koordinaten
Bilder
• Gnomonisch
• Gnomonisch mit Koordinaten
• Original
• Original mit Koordinaten
Textdateien
• Erkennung
• Beobachtung
• Koordinaten
• Protokoll
Helligkeit

Vasteras (VAS) cam5


preview
Videos
• Gnomonisch
• Gnomonisch mit Koordinaten
• Original
• Original mit Koordinaten
Bilder
• Gnomonisch
• Gnomonisch mit Koordinaten
• Original
• Original mit Koordinaten
Textdateien
• Erkennung
• Beobachtung
• Koordinaten
• Protokoll
Helligkeit