🇳🇴 🇬🇧 🇩🇪 🇨🇿 🇫🇮

Meteor Oddan yllä 2026-04-15 23:28:42 UTC

KML-tiedosto  |  Interaktiivinen kartta

Kartta näyttää meteorin suuntahavainnot. Vaaleammat viivat näyttävät suunnat havaintoasemilta meteorin ilmestyessä, ja tummemmat viivat näyttävät, missä se viimeksi nähtiin. Sininen nuoli näyttää meteorin näkyvän lennon.

static map
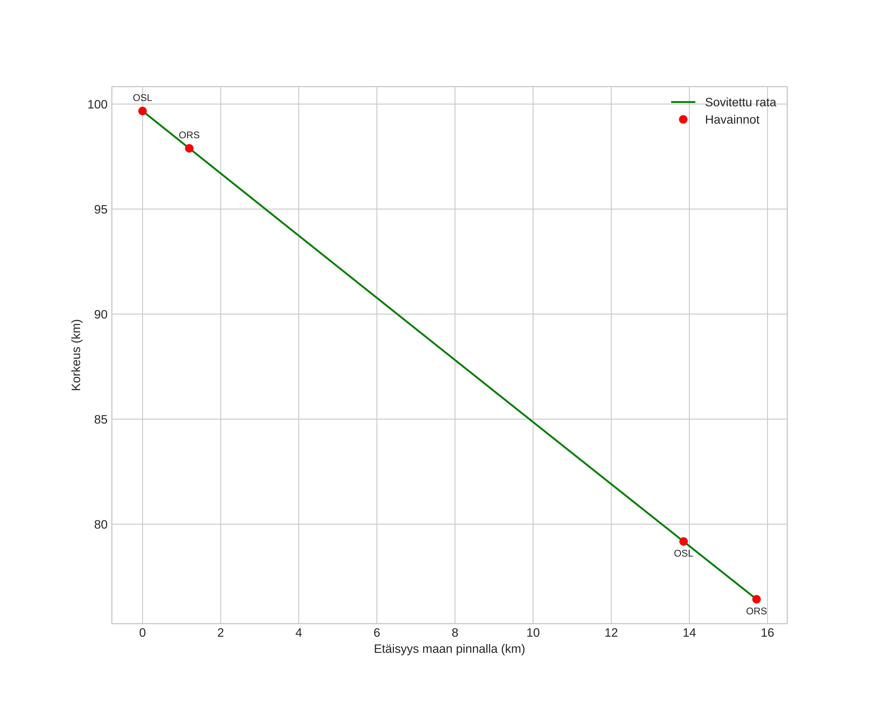
height profile
wind profile
Meteorin ilmakehärata:
Alkukorkeus: 99,7 km
Loppukorkeus: 76,4 km
Alkupiste: 60,142N 6,824E
Loppupiste: 60,077N 6,573E
Suunta: 242,6°
Kallistuskulma: 56,0°
Tulonopeus: 34,7 km/s
Radiantin R,A,: 18:12 (273,1°)
Radiantin Dekl,: 57,6°
Meteoriparvi: Sporadinen
Meteoroidin rataelementit:
Perihelietäisyys: 1,003 AU
Eksentrisyys: 0,875
Inklinaatio: 52,6°
Nousevan solmun pituus: 25,6°
Perihelin argumentti: 182,6°
Keskianomalia: 359,9°
Epookki: 2026 APR 15 23:28:42
orbit plot

Ei-interaktiivinen kuvaaja | Interaktiivinen kuvaaja

position vs time
speed and acceleration

Orsta (ORS) cam2


preview
Videot:
• Gnomoninen
• Gnomoninen koordinaateilla
• Alkuperäinen
• Alkuperäinen koordinaateilla
Kuvat:
• Gnomoninen
• Gnomoninen koordinaateilla
• Alkuperäinen
• Alkuperäinen koordinaateilla
Tekstitiedostot:
• Havaintoraportti
• Observaatio
• Koordinaatit
• Loki
Kirkkaus

Voksenlia (OSL) cam2


preview
Videot:
• Gnomoninen
• Gnomoninen koordinaateilla
• Alkuperäinen
• Alkuperäinen koordinaateilla
Kuvat:
• Gnomoninen
• Gnomoninen koordinaateilla
• Alkuperäinen
• Alkuperäinen koordinaateilla
Tekstitiedostot:
• Havaintoraportti
• Observaatio
• Koordinaatit
• Loki
Kirkkaus