🇳🇴 🇬🇧 🇩🇪 🇨🇿 🇫🇮

Meteor Stavernin yllä 2026-04-16 01:42:05 UTC

KML-tiedosto  |  Interaktiivinen kartta

Kartta näyttää meteorin suuntahavainnot. Vaaleammat viivat näyttävät suunnat havaintoasemilta meteorin ilmestyessä, ja tummemmat viivat näyttävät, missä se viimeksi nähtiin. Sininen nuoli näyttää meteorin näkyvän lennon.

static map
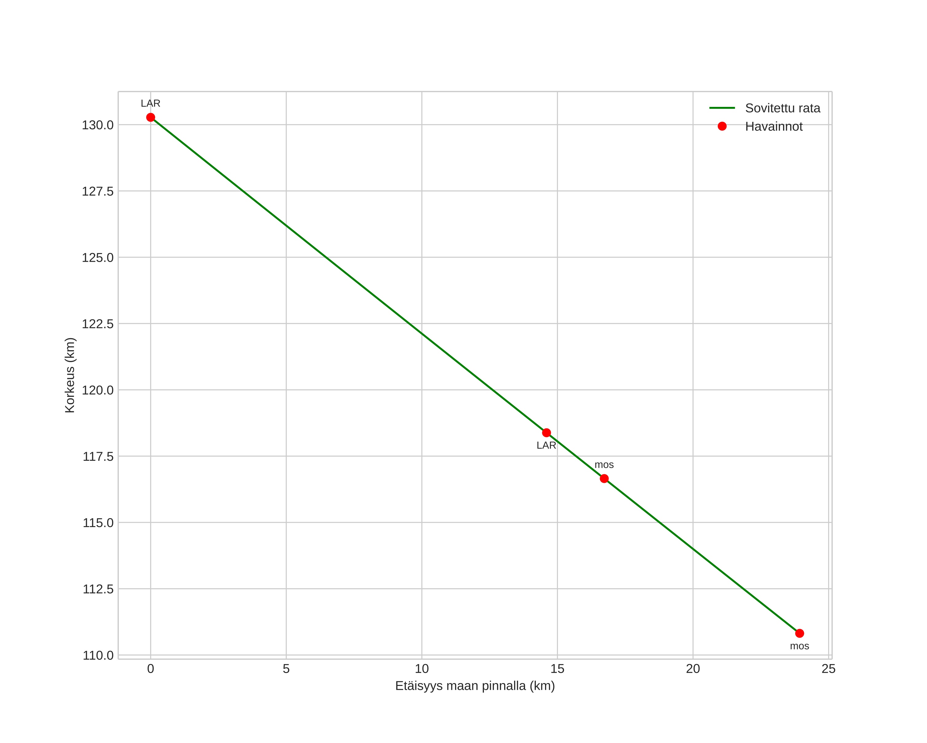
height profile
Meteorin ilmakehärata:
Alkukorkeus: 130,3 km
Loppukorkeus: 110,8 km
Alkupiste: 58,542N 10,669E
Loppupiste: 58,469N 10,281E
Suunta: 250,3°
Kallistuskulma: 39,2°
Tulonopeus: 48,6 km/s
Radiantin R,A,: 21:28 (322,2°)
Radiantin Dekl,: 41,9°
Meteoriparvi: Sporadinen
Meteoroidin rataelementit:
Perihelietäisyys: 0,779 AU
Eksentrisyys: 1,224
Inklinaatio: 73,3°
Nousevan solmun pituus: 25,7°
Perihelin argumentti: 126,3°
Keskianomalia: 4,5°
Epookki: 2026 APR 16 01:42:05
orbit plot

Ei-interaktiivinen kuvaaja | Interaktiivinen kuvaaja

position vs time
speed and acceleration

Larvik (LAR) cam7


preview
Videot:
• Gnomoninen
• Gnomoninen koordinaateilla
• Alkuperäinen
• Alkuperäinen koordinaateilla
Kuvat:
• Gnomoninen
• Gnomoninen koordinaateilla
• Alkuperäinen
• Alkuperäinen koordinaateilla
Tekstitiedostot:
• Havaintoraportti
• Observaatio
• Koordinaatit
• Loki
Kirkkaus

Moss (mos) cam7


preview
Videot:
• Gnomoninen
• Gnomoninen koordinaateilla
• Alkuperäinen
• Alkuperäinen koordinaateilla
Kuvat:
• Gnomoninen
• Gnomoninen koordinaateilla
• Alkuperäinen
• Alkuperäinen koordinaateilla
Tekstitiedostot:
• Havaintoraportti
• Observaatio
• Koordinaatit
• Loki
Kirkkaus