🇳🇴 🇬🇧 🇩🇪 🇨🇿 🇫🇮

Meteor over Askersund 2026-04-16 01:44:20 UTC

KML-fil  |  Interaktivt kart

Kartet viser peilingene for meteoren. De lysere linjene viser retningene fra observasjonsstedene for meteorens tilsynekomst, og de mørkere linjene viser hvor den sist kunne sees. Den blå pila viser meteorens synlige ferd.

static map
height profile
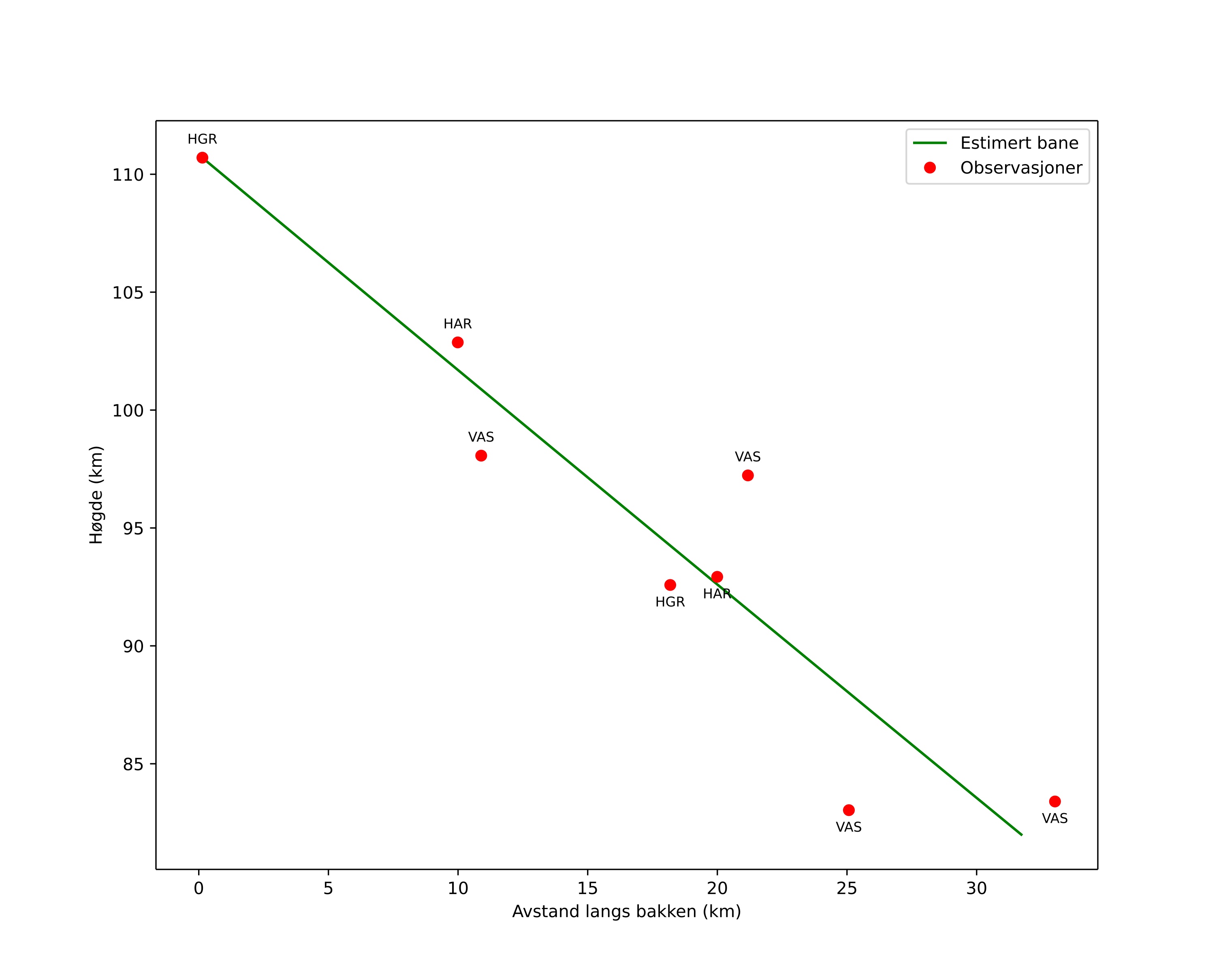
Meteorens atmosfæriske bane:
Starthøgde: 110,8 km
Slutthøgde: 82,0 km
Startposisjon: 58,451N 14,898E
Sluttposisjon: 58,732N 14,800E
Retning: 349,8°
Fallvinkel: 42,2°
Inngangshastighet: 58,3 km/s
Radiantens rektascensjon: 16:49 (252,3°)
Radiantens deklinasjon: 10,5°
Meteorsverm: sporadisk
Meteoroidens baneelement:
Perihelavstand: 0,495 AU
Eksentrisitet: 1,215
Inklinasjon: 96,3°
Knutelengde: 25,7°
Perihelargument: 265,6°
Midlere anomali: -9,8°
Epoke: 2026 APR 16 01:44:20
orbit plot

Ikke-interaktivt plott | Interaktivt plott

position vs time
speed and acceleration

Hagar (HGR) cam4


preview
Videoer
• Gnomonisk
• Gnomonisk med koordinater
• Original
• Original med koordinater
Bilder
• Gnomonisk
• Gnomonisk med koordinater
• Original
• Original med koordinater
Tekstfiler
• Deteksjon
• Observasjon
• Koordinater
• Logg
Lysstyrke

Harestua (HAR) cam3


preview
Videoer
• Gnomonisk
• Gnomonisk med koordinater
• Original
• Original med koordinater
Bilder
• Gnomonisk
• Gnomonisk med koordinater
• Original
• Original med koordinater
Tekstfiler
• Deteksjon
• Observasjon
• Koordinater
• Logg
Lysstyrke

Vasteras (VAS) cam4


preview
Videoer
• Gnomonisk
• Gnomonisk med koordinater
• Original
• Original med koordinater
Bilder
• Gnomonisk
• Gnomonisk med koordinater
• Original
• Original med koordinater
Tekstfiler
• Deteksjon
• Observasjon
• Koordinater
• Logg
Lysstyrke

Vasteras (VAS) cam7


preview
Videoer
• Gnomonisk
• Gnomonisk med koordinater
• Original
• Original med koordinater
Bilder
• Gnomonisk
• Gnomonisk med koordinater
• Original
• Original med koordinater
Tekstfiler
• Deteksjon
• Observasjon
• Koordinater
• Logg
Lysstyrke