🇳🇴 🇬🇧 🇩🇪 🇨🇿 🇫🇮

Meteor Fevikin yllä 2026-04-16 02:24:33 UTC

KML-tiedosto  |  Interaktiivinen kartta

Kartta näyttää meteorin suuntahavainnot. Vaaleammat viivat näyttävät suunnat havaintoasemilta meteorin ilmestyessä, ja tummemmat viivat näyttävät, missä se viimeksi nähtiin. Sininen nuoli näyttää meteorin näkyvän lennon.

static map
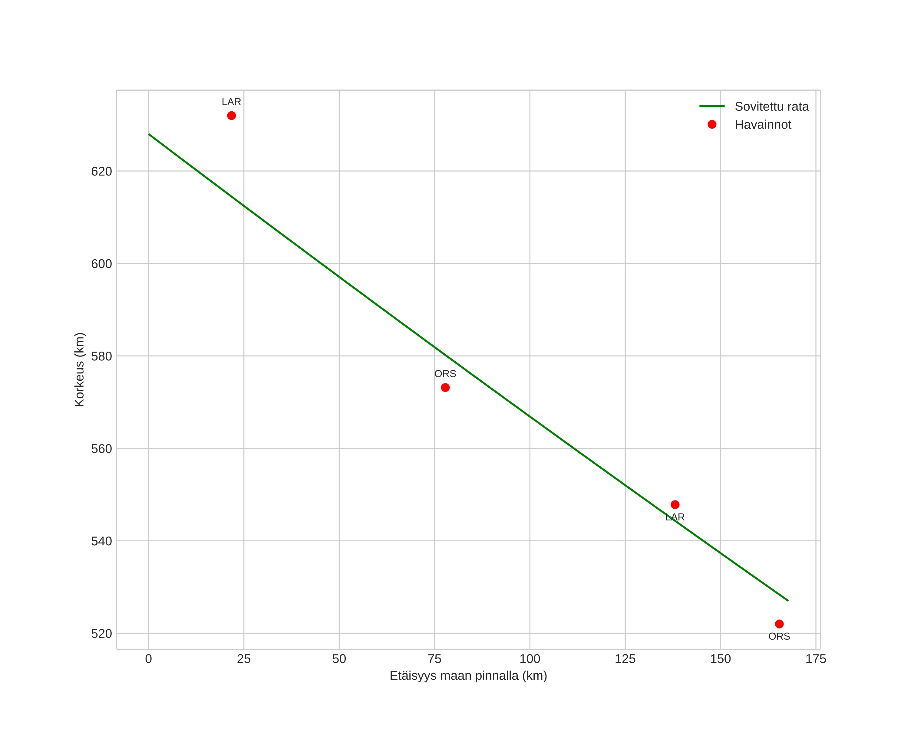
height profile
Meteorin ilmakehärata:
Alkukorkeus: 628,0 km
Loppukorkeus: 527,0 km
Alkupiste: 57,565N 11,319E
Loppupiste: 58,270N 8,806E
Suunta: 298,9°
Kallistuskulma: 31,0°
Tulonopeus: 429,3 km/s
Radiantin R,A,: 20:05 (301,4°)
Radiantin Dekl,: 12,2°
Meteoriparvi: Sporadinen
Meteoroidin rataelementit:
Perihelietäisyys: 0,988 AU
Eksentrisyys: 181,350
Inklinaatio: 145,5°
Nousevan solmun pituus: 25,8°
Perihelin argumentti: 170,0°
Keskianomalia: 1820,2°
Epookki: 2026 APR 16 02:24:33
orbit plot

Ei-interaktiivinen kuvaaja | Interaktiivinen kuvaaja

position vs time
speed and acceleration

Larvik (LAR) cam7


preview
Videot:
• Gnomoninen
• Gnomoninen koordinaateilla
• Alkuperäinen
• Alkuperäinen koordinaateilla
Kuvat:
• Gnomoninen
• Gnomoninen koordinaateilla
• Alkuperäinen
• Alkuperäinen koordinaateilla
Tekstitiedostot:
• Havaintoraportti
• Observaatio
• Koordinaatit
• Loki
Kirkkaus

Orsta (ORS) cam2


preview
Videot:
• Gnomoninen
• Gnomoninen koordinaateilla
• Alkuperäinen
• Alkuperäinen koordinaateilla
Kuvat:
• Gnomoninen
• Gnomoninen koordinaateilla
• Alkuperäinen
• Alkuperäinen koordinaateilla
Tekstitiedostot:
• Havaintoraportti
• Observaatio
• Koordinaatit
• Loki
Kirkkaus