🇳🇴 🇬🇧 🇩🇪 🇨🇿 🇫🇮

Meteor, poloha: Ludvika 2026-04-19 22:03:46 UTC

Soubor KML  |  Interaktivní mapa

Mapa zobrazuje dráhy meteoru. Světlejší čáry ukazují směry od pozorovacích stanic při objevení se meteoru a tmavší čáry, kde byl naposledy viděn. Modrá šipka značí viditelnou dráhu meteoru.

static map
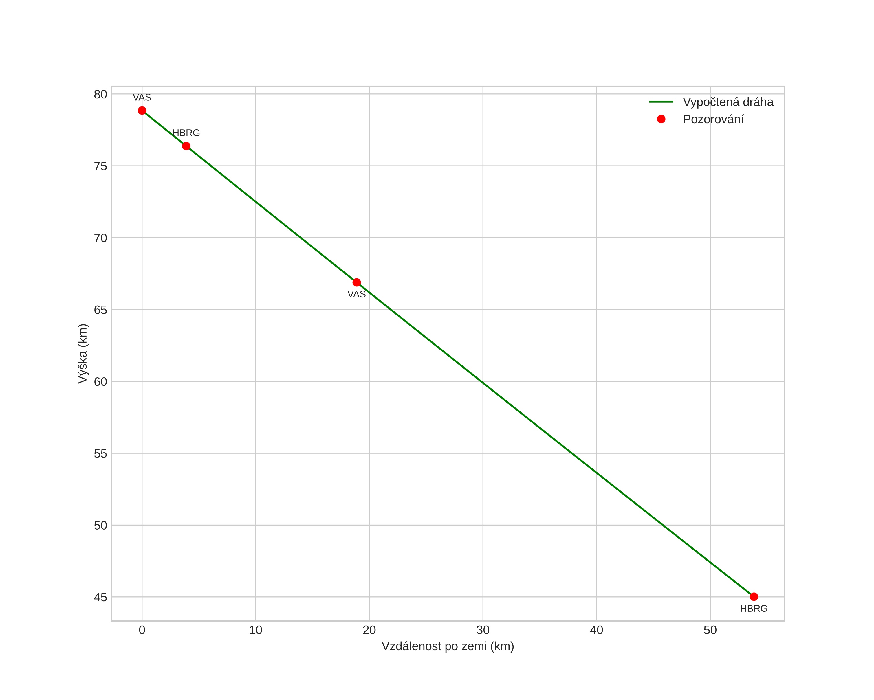
height profile
wind profile
Atmosférická dráha meteoru:
Počáteční výška: 78,8 km
Konečná výška: 45,0 km
Počáteční poloha: 60,724N 14,978E
Konečná poloha: 60,245N 15,121E
Směr: 171,6°
Sklon: 32,1°
Vstupní rychlost: 17,7 km/s
Rektascenze radiantu: 01:50 (27,6°)
Deklinace radiantu: 52,8°
Meteorický roj: sporadický
Elementy dráhy meteoroidu:
Vzdálenost v periheliu: 0,866 AU
Excentricita: 0,521
Sklon dráhy: 14,6°
Délka vzestupného uzlu: 29,5°
Argument perihelia: 126,7°
Střední anomálie: 15,9°
Epocha: 2026 APR 19 22:03:46
orbit plot

Neinteraktivní graf | Interaktivní graf

position vs time
speed and acceleration