🇳🇴 🇬🇧 🇩🇪 🇨🇿 🇫🇮

Meteor, poloha: Prestfoss 2026-04-19 23:47:20 UTC

Soubor KML  |  Interaktivní mapa

Mapa zobrazuje dráhy meteoru. Světlejší čáry ukazují směry od pozorovacích stanic při objevení se meteoru a tmavší čáry, kde byl naposledy viděn. Modrá šipka značí viditelnou dráhu meteoru.

static map
height profile
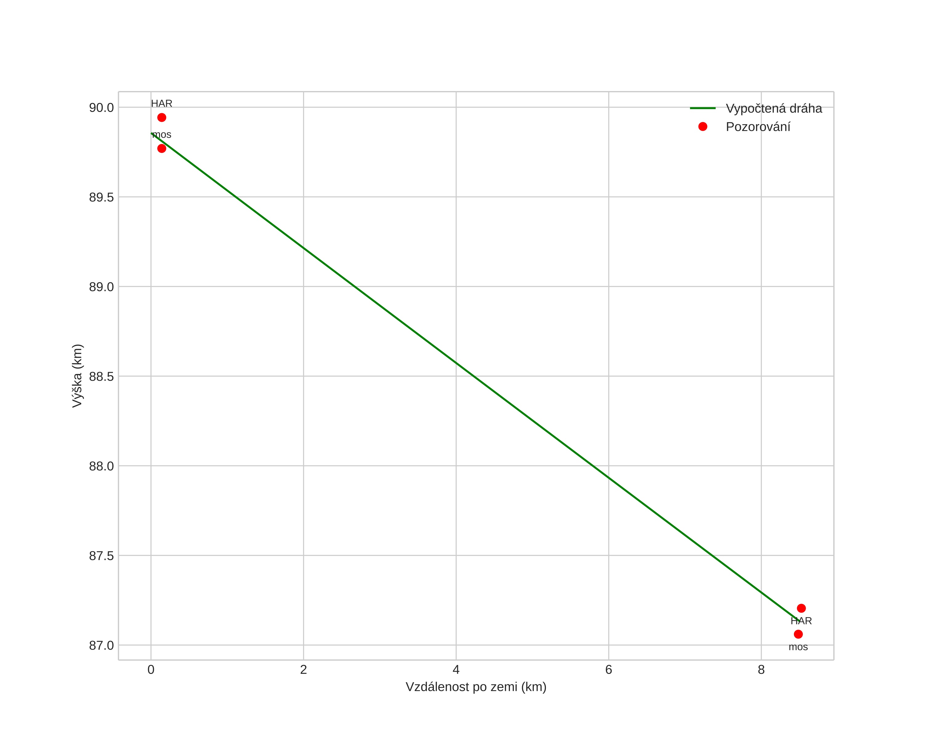
Atmosférická dráha meteoru:
Počáteční výška: 89,9 km
Konečná výška: 87,1 km
Počáteční poloha: 59,908N 9,761E
Konečná poloha: 59,982N 9,794E
Směr: 12,3°
Sklon: 18,2°
Vstupní rychlost: 10,4 km/s
orbit plot

Neinteraktivní graf | Interaktivní graf

position vs time
speed and acceleration