🇳🇴 🇬🇧 🇩🇪 🇨🇿 🇫🇮

Meteor over Åmål 2026-04-20 01:21:10 UTC

KML-fil  |  Interaktivt kart

Kartet viser peilingene for meteoren. De lysere linjene viser retningene fra observasjonsstedene for meteorens tilsynekomst, og de mørkere linjene viser hvor den sist kunne sees. Den blå pila viser meteorens synlige ferd.

static map
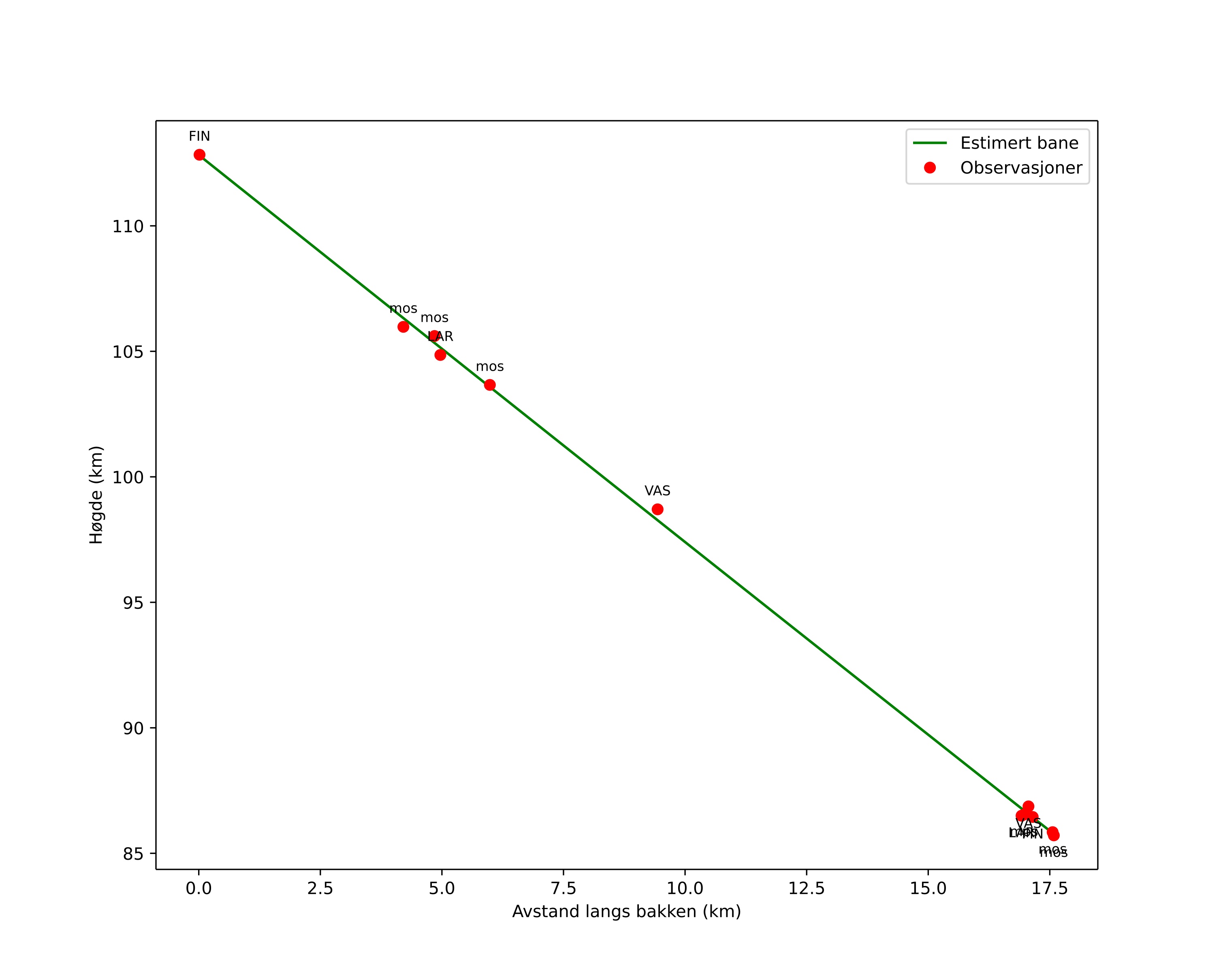
height profile
wind profile
Meteorens atmosfæriske bane:
Starthøgde: 112,8 km
Slutthøgde: 85,7 km
Startposisjon: 59,042N 12,987E
Sluttposisjon: 59,129N 12,728E
Retning: 303,2°
Fallvinkel: 57,0°
Inngangshastighet: 50,7 km/s
Radiantens rektascensjon: 18:18 (274,6°)
Radiantens deklinasjon: 34,1°
Meteorsverm: Lyridene
Meteoroidens baneelement:
Perihelavstand: 0,955 AU
Eksentrisitet: 1,090
Inklinasjon: 83,0°
Knutelengde: 29,6°
Perihelargument: 205,1°
Midlere anomali: -0,5°
Epoke: 2026 APR 20 01:21:10
orbit plot

Ikke-interaktivt plott | Interaktivt plott

position vs time
speed and acceleration

Finnskogen (FIN) cam3


preview
Videoer
• Gnomonisk
• Gnomonisk med koordinater
• Original
• Original med koordinater
Bilder
• Gnomonisk
• Gnomonisk med koordinater
• Original
• Original med koordinater
Tekstfiler
• Deteksjon
• Observasjon
• Koordinater
• Logg
Lysstyrke

Larvik (LAR) cam3


preview
Videoer
• Gnomonisk
• Gnomonisk med koordinater
• Original
• Original med koordinater
Bilder
• Gnomonisk
• Gnomonisk med koordinater
• Original
• Original med koordinater
Tekstfiler
• Deteksjon
• Observasjon
• Koordinater
• Logg
Lysstyrke

Moss (mos) cam2


preview
Videoer
• Gnomonisk
• Gnomonisk med koordinater
• Original
• Original med koordinater
Bilder
• Gnomonisk
• Gnomonisk med koordinater
• Original
• Original med koordinater
Tekstfiler
• Deteksjon
• Observasjon
• Koordinater
• Logg
Lysstyrke

Moss (mos) cam3


preview
Videoer
• Gnomonisk
• Gnomonisk med koordinater
• Original
• Original med koordinater
Bilder
• Gnomonisk
• Gnomonisk med koordinater
• Original
• Original med koordinater
Tekstfiler
• Deteksjon
• Observasjon
• Koordinater
• Logg
Lysstyrke

Moss (mos) cam7


preview
Videoer
• Gnomonisk
• Gnomonisk med koordinater
• Original
• Original med koordinater
Bilder
• Gnomonisk
• Gnomonisk med koordinater
• Original
• Original med koordinater
Tekstfiler
• Deteksjon
• Observasjon
• Koordinater
• Logg
Lysstyrke

Vasteras (VAS) cam4


preview
Videoer
• Gnomonisk
• Gnomonisk med koordinater
• Original
• Original med koordinater
Bilder
• Gnomonisk
• Gnomonisk med koordinater
• Original
• Original med koordinater
Tekstfiler
• Deteksjon
• Observasjon
• Koordinater
• Logg
Lysstyrke