🇳🇴 🇬🇧 🇩🇪 🇨🇿 🇫🇮

Meteor over Bergset 2026-04-20 23:34:39 UTC

KML-fil  |  Interaktivt kart

Kartet viser peilingene for meteoren. De lysere linjene viser retningene fra observasjonsstedene for meteorens tilsynekomst, og de mørkere linjene viser hvor den sist kunne sees. Den blå pila viser meteorens synlige ferd.

static map
height profile
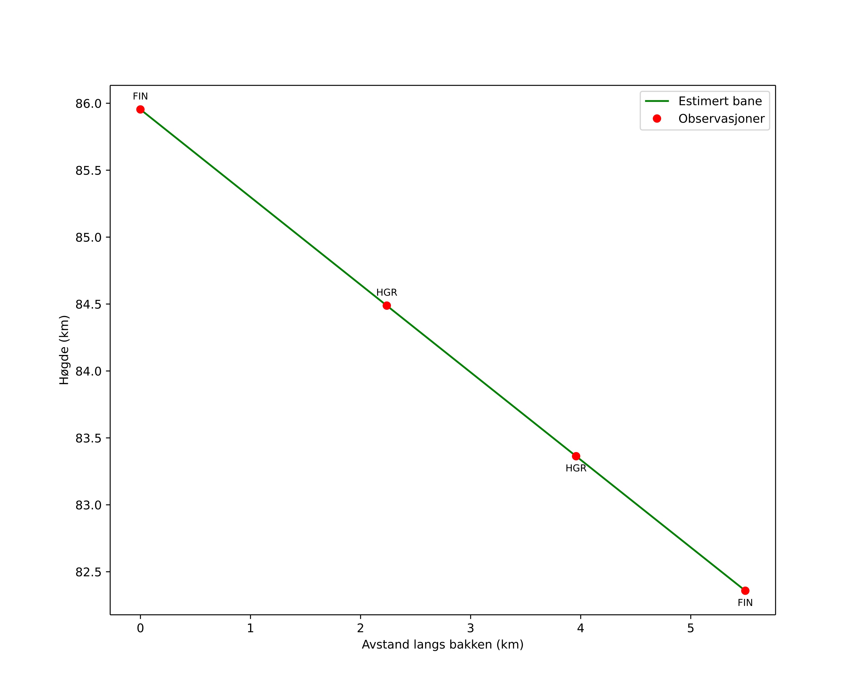
Meteorens atmosfæriske bane:
Starthøgde: 86,0 km
Slutthøgde: 82,4 km
Startposisjon: 61,886N 10,980E
Sluttposisjon: 61,904N 10,883E
Retning: 291,4°
Fallvinkel: 33,2°
Inngangshastighet: 10,0 km/s
position vs time
speed and acceleration

Finnskogen (FIN) cam5


preview
Videoer
• Gnomonisk
• Gnomonisk med koordinater
• Original
• Original med koordinater
Bilder
• Gnomonisk
• Gnomonisk med koordinater
• Original
• Original med koordinater
Tekstfiler
• Deteksjon
• Observasjon
• Koordinater
• Logg
Lysstyrke

Hagar (HGR) cam2


preview
Videoer
• Gnomonisk
• Gnomonisk med koordinater
• Original
• Original med koordinater
Bilder
• Gnomonisk
• Gnomonisk med koordinater
• Original
• Original med koordinater
Tekstfiler
• Deteksjon
• Observasjon
• Koordinater
• Logg
Lysstyrke