🇳🇴 🇬🇧 🇩🇪 🇨🇿 🇫🇮

Meteor, poloha: Bergset 2026-04-20 23:34:39 UTC

Soubor KML  |  Interaktivní mapa

Mapa zobrazuje dráhy meteoru. Světlejší čáry ukazují směry od pozorovacích stanic při objevení se meteoru a tmavší čáry, kde byl naposledy viděn. Modrá šipka značí viditelnou dráhu meteoru.

static map
height profile
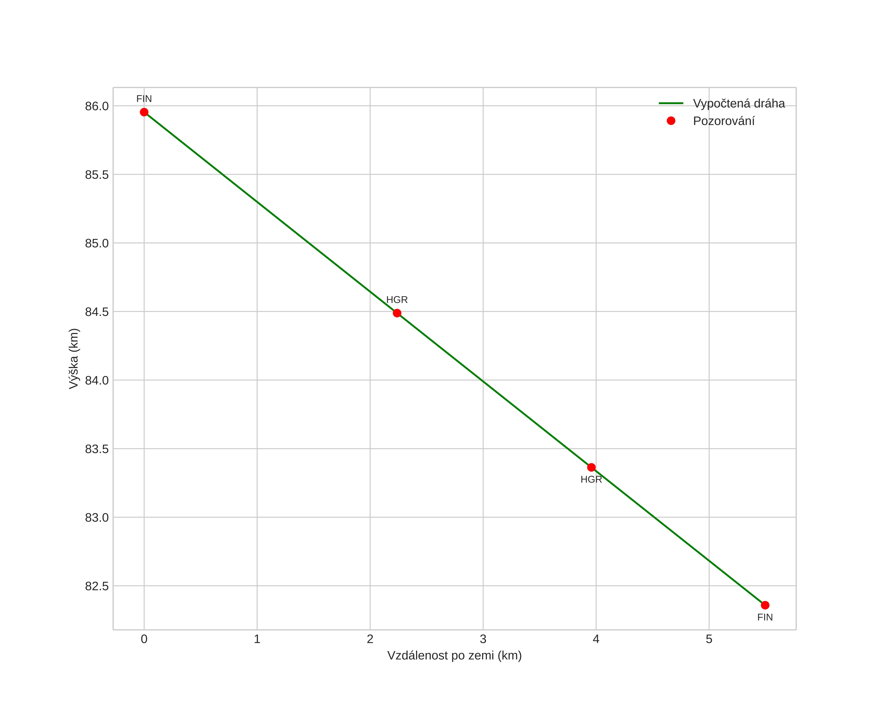
Atmosférická dráha meteoru:
Počáteční výška: 86,0 km
Konečná výška: 82,4 km
Počáteční poloha: 61,886N 10,980E
Konečná poloha: 61,904N 10,883E
Směr: 291,4°
Sklon: 33,2°
Vstupní rychlost: 10,0 km/s
position vs time
speed and acceleration