🇳🇴 🇬🇧 🇩🇪 🇨🇿 🇫🇮

Meteor, poloha: Hokksund 2026-04-21 00:45:17 UTC

Soubor KML  |  Interaktivní mapa

Mapa zobrazuje dráhy meteoru. Světlejší čáry ukazují směry od pozorovacích stanic při objevení se meteoru a tmavší čáry, kde byl naposledy viděn. Modrá šipka značí viditelnou dráhu meteoru.

static map
height profile
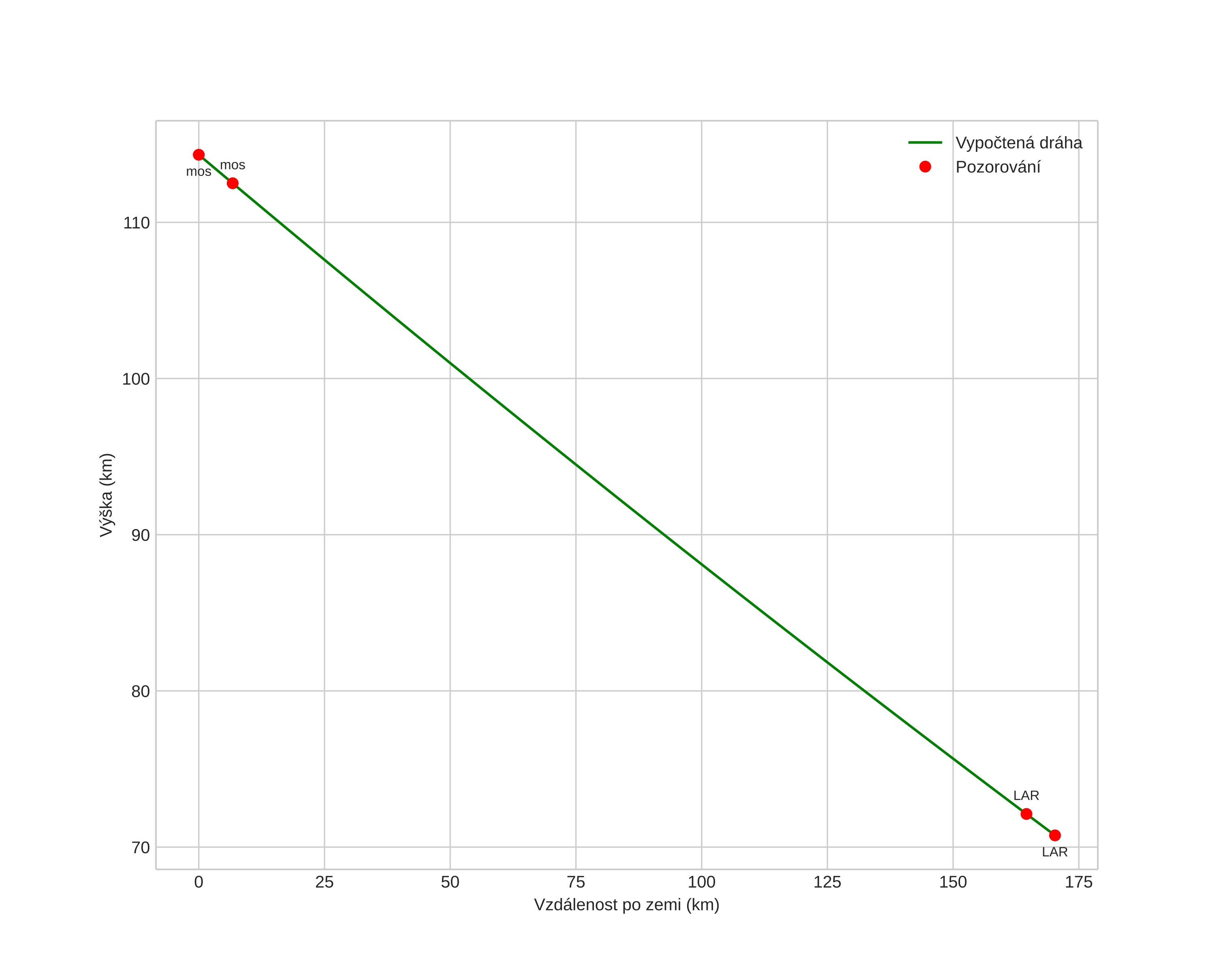
Atmosférická dráha meteoru:
Počáteční výška: 114,3 km
Konečná výška: 70,8 km
Počáteční poloha: 58,942N 12,442E
Konečná poloha: 59,716N 9,851E
Směr: 301,4°
Sklon: 14,3°
Vstupní rychlost: 1,1 km/s
position vs time
speed and acceleration