🇳🇴 🇬🇧 🇩🇪 🇨🇿 🇫🇮

Meteor over Prestfoss 2026-04-21 01:03:28 UTC

KML-fil  |  Interaktivt kart

Kartet viser peilingene for meteoren. De lysere linjene viser retningene fra observasjonsstedene for meteorens tilsynekomst, og de mørkere linjene viser hvor den sist kunne sees. Den blå pila viser meteorens synlige ferd.

static map
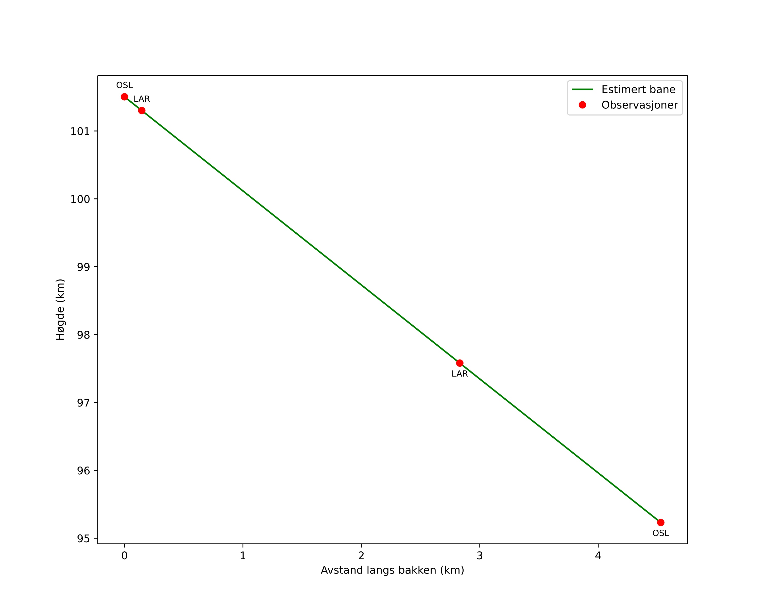
height profile
Meteorens atmosfæriske bane:
Starthøgde: 101,5 km
Slutthøgde: 95,2 km
Startposisjon: 59,998N 9,866E
Sluttposisjon: 60,018N 9,796E
Retning: 300,7°
Fallvinkel: 54,3°
Inngangshastighet: 43,9 km/s
Radiantens rektascensjon: 18:06 (271,6°)
Radiantens deklinasjon: 33,1°
Meteorsverm: Lyridene
Meteoroidens baneelement:
Perihelavstand: 0,907 AU
Eksentrisitet: 0,667
Inklinasjon: 75,6°
Knutelengde: 30,6°
Perihelargument: 220,7°
Midlere anomali: 353,5°
Epoke: 2026 APR 21 01:03:28
orbit plot

Ikke-interaktivt plott | Interaktivt plott

position vs time
speed and acceleration

Larvik (LAR) cam6


preview
Videoer
• Gnomonisk
• Gnomonisk med koordinater
• Original
• Original med koordinater
Bilder
• Gnomonisk
• Gnomonisk med koordinater
• Original
• Original med koordinater
Tekstfiler
• Deteksjon
• Observasjon
• Koordinater
• Logg
Lysstyrke

Voksenlia (OSL) cam7


preview
Videoer
• Gnomonisk
• Gnomonisk med koordinater
• Original
• Original med koordinater
Bilder
• Gnomonisk
• Gnomonisk med koordinater
• Original
• Original med koordinater
Tekstfiler
• Deteksjon
• Observasjon
• Koordinater
• Logg
Lysstyrke