🇳🇴 🇬🇧 🇩🇪 🇨🇿 🇫🇮

Meteor Prestfossin yllä 2026-04-21 01:03:28 UTC

KML-tiedosto  |  Interaktiivinen kartta

Kartta näyttää meteorin suuntahavainnot. Vaaleammat viivat näyttävät suunnat havaintoasemilta meteorin ilmestyessä, ja tummemmat viivat näyttävät, missä se viimeksi nähtiin. Sininen nuoli näyttää meteorin näkyvän lennon.

static map
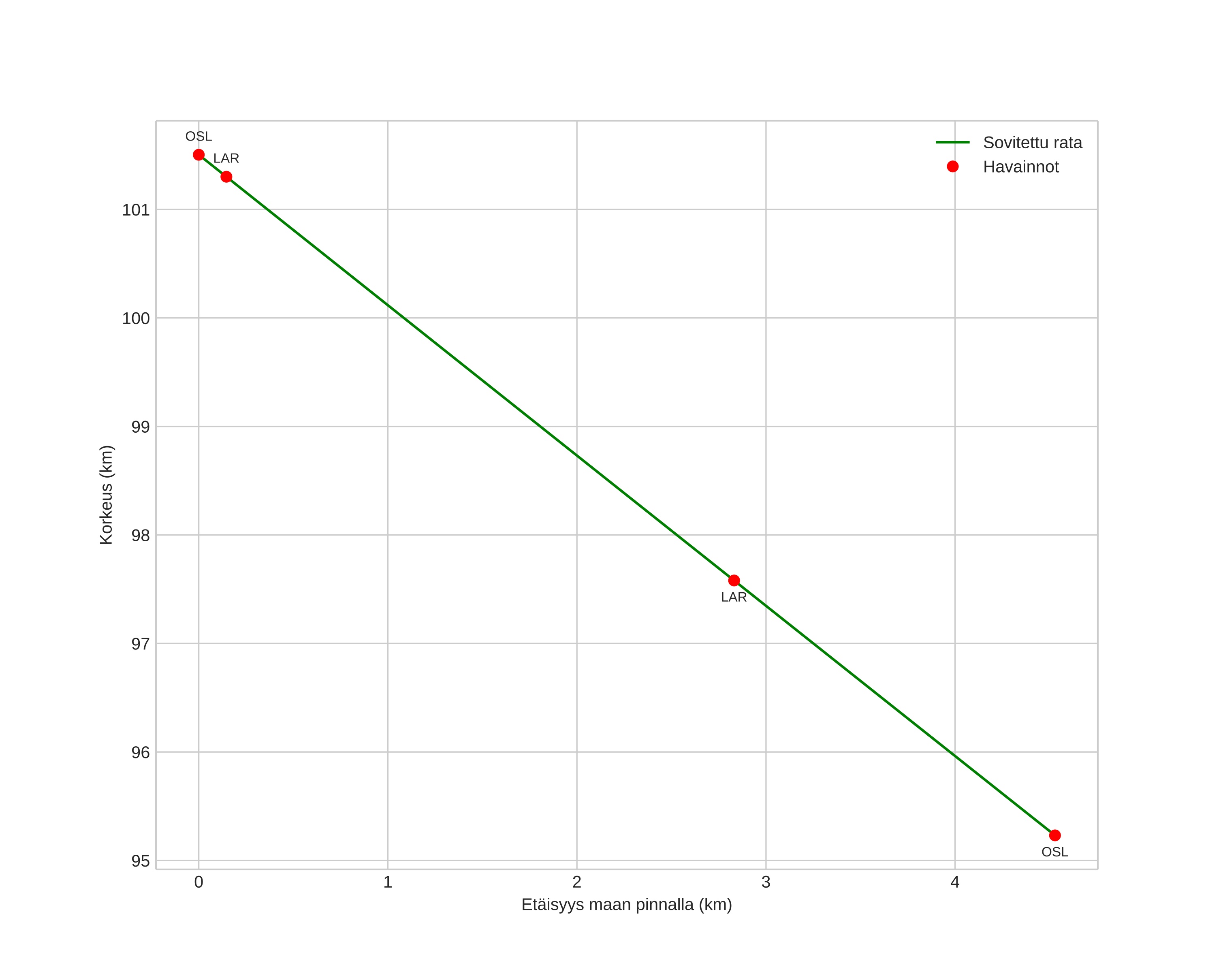
height profile
Meteorin ilmakehärata:
Alkukorkeus: 101,5 km
Loppukorkeus: 95,2 km
Alkupiste: 59,998N 9,866E
Loppupiste: 60,018N 9,796E
Suunta: 300,7°
Kallistuskulma: 54,3°
Tulonopeus: 43,9 km/s
Radiantin R,A,: 18:06 (271,6°)
Radiantin Dekl,: 33,1°
Meteoriparvi: Lyridit
Meteoroidin rataelementit:
Perihelietäisyys: 0,907 AU
Eksentrisyys: 0,667
Inklinaatio: 75,6°
Nousevan solmun pituus: 30,6°
Perihelin argumentti: 220,7°
Keskianomalia: 353,5°
Epookki: 2026 APR 21 01:03:28
orbit plot

Ei-interaktiivinen kuvaaja | Interaktiivinen kuvaaja

position vs time
speed and acceleration

Larvik (LAR) cam6


preview
Videot:
• Gnomoninen
• Gnomoninen koordinaateilla
• Alkuperäinen
• Alkuperäinen koordinaateilla
Kuvat:
• Gnomoninen
• Gnomoninen koordinaateilla
• Alkuperäinen
• Alkuperäinen koordinaateilla
Tekstitiedostot:
• Havaintoraportti
• Observaatio
• Koordinaatit
• Loki
Kirkkaus

Voksenlia (OSL) cam7


preview
Videot:
• Gnomoninen
• Gnomoninen koordinaateilla
• Alkuperäinen
• Alkuperäinen koordinaateilla
Kuvat:
• Gnomoninen
• Gnomoninen koordinaateilla
• Alkuperäinen
• Alkuperäinen koordinaateilla
Tekstitiedostot:
• Havaintoraportti
• Observaatio
• Koordinaatit
• Loki
Kirkkaus