🇳🇴 🇬🇧 🇩🇪 🇨🇿 🇫🇮

Meteor, poloha: Ørje 2026-04-21 01:13:06 UTC

Soubor KML  |  Interaktivní mapa

Mapa zobrazuje dráhy meteoru. Světlejší čáry ukazují směry od pozorovacích stanic při objevení se meteoru a tmavší čáry, kde byl naposledy viděn. Modrá šipka značí viditelnou dráhu meteoru.

static map
height profile
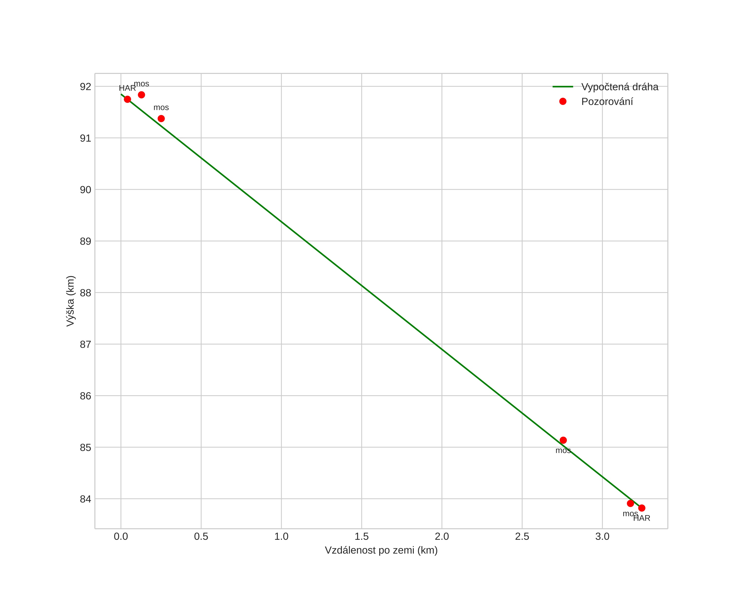
Atmosférická dráha meteoru:
Počáteční výška: 91,8 km
Konečná výška: 83,8 km
Počáteční poloha: 59,555N 11,451E
Konečná poloha: 59,550N 11,508E
Směr: 100,0°
Sklon: 67,9°
Vstupní rychlost: 20,8 km/s
Rektascenze radiantu: 12:51 (193,0°)
Deklinace radiantu: 55,1°
Meteorický roj: sporadický
Elementy dráhy meteoroidu:
Vzdálenost v periheliu: 0,981 AU
Excentricita: 0,900
Sklon dráhy: 20,6°
Délka vzestupného uzlu: 30,6°
Argument perihelia: 198,3°
Střední anomálie: 359,6°
Epocha: 2026 APR 21 01:13:06
orbit plot

Neinteraktivní graf | Interaktivní graf

position vs time
speed and acceleration