🇳🇴 🇬🇧 🇩🇪 🇨🇿 🇫🇮

Meteor über Sauland 2026-04-21 22:57:08 UTC

KML-Datei  |  Interaktive Karte

Die Karte zeigt die Peilungen für den Meteor. Die helleren Linien zeigen die Richtungen von den Beobachtungsorten beim Erscheinen des Meteors, und die dunkleren Linien, wo er zuletzt gesehen wurde. Der blaue Pfeil zeigt die sichtbare Bahn des Meteors.

static map
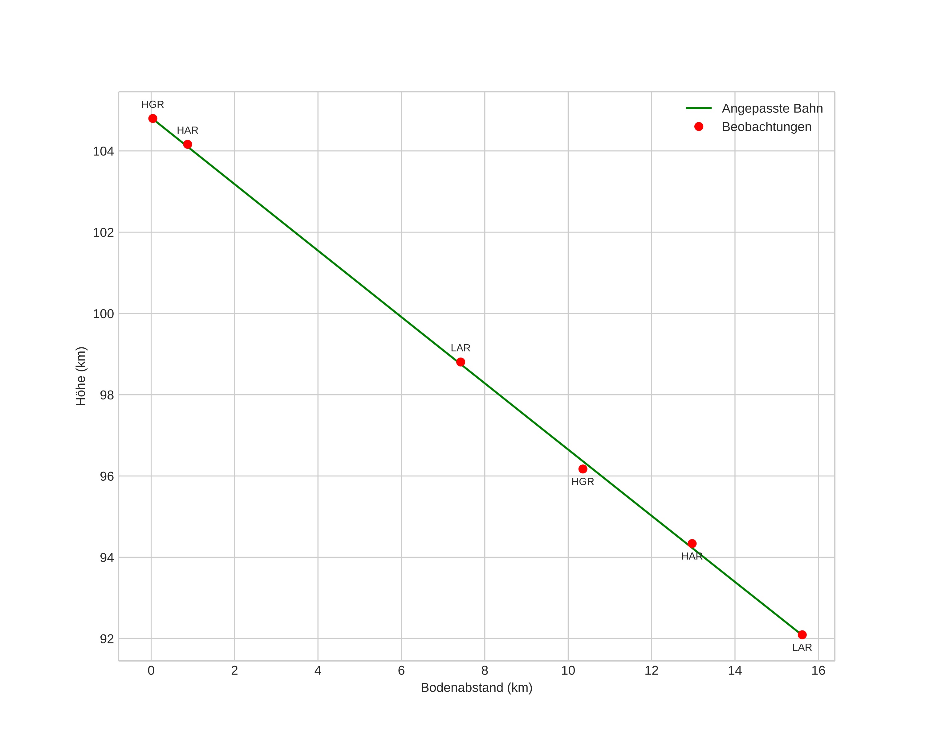
height profile
Atmosphärische Bahn des Meteors:
Anfangshöhe: 104,8 km
Endhöhe: 92,1 km
Startposition: 59,675N 9,121E
Endposition: 59,664N 8,844E
Richtung: 265,6°
Neigungswinkel: 39,1°
Eintrittsgeschwindigkeit: 56,2 km/s
Rektaszension des Radianten: 18:16 (274,2°)
Deklination des Radianten: 34,7°
Meteorstrom: Lyriden
Bahnelemente des Meteoroiden:
Periheldistanz: 0,956 AU
Exzentrizität: 1,600
Inklination: 86,0°
Länge des aufsteigenden Knotens: 31,5°
Argument des Perihels: 203,0°
Mittlere Anomalie: -6,8°
Epoche: 2026 APR 21 22:57:08
orbit plot

Nicht-interaktives Diagramm | Interaktives Diagramm

position vs time
speed and acceleration

Hagar (HGR) cam5


preview
Videos
• Gnomonisch
• Gnomonisch mit Koordinaten
• Original
• Original mit Koordinaten
Bilder
• Gnomonisch
• Gnomonisch mit Koordinaten
• Original
• Original mit Koordinaten
Textdateien
• Erkennung
• Beobachtung
• Koordinaten
• Protokoll
Helligkeit

Harestua (HAR) cam7


preview
Videos
• Gnomonisch
• Gnomonisch mit Koordinaten
• Original
• Original mit Koordinaten
Bilder
• Gnomonisch
• Gnomonisch mit Koordinaten
• Original
• Original mit Koordinaten
Textdateien
• Erkennung
• Beobachtung
• Koordinaten
• Protokoll
Helligkeit

Larvik (LAR) cam6


preview
Videos
• Gnomonisch
• Gnomonisch mit Koordinaten
• Original
• Original mit Koordinaten
Bilder
• Gnomonisch
• Gnomonisch mit Koordinaten
• Original
• Original mit Koordinaten
Textdateien
• Erkennung
• Beobachtung
• Koordinaten
• Protokoll
Helligkeit