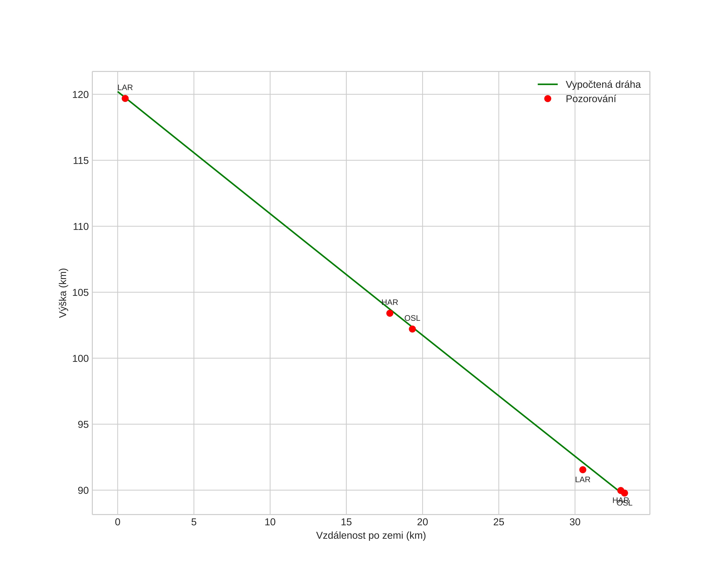
Atmosférická dráha meteoru:
| Počátečnà výška: | 120,2 km |
| Konečná výška: | 89,7 km |
| Počátečnà poloha: | 58,416N 12,302E |
| Konečná poloha: | 58,515N 11,764E |
| Směr: | 289,5° |
| Sklon: | 42,6° |
| VstupnĂ rychlost: | 84,2 km/s |
| Rektascenze radiantu: | 17:08 (257,2°) |
| Deklinace radiantu: | 26,4° |
| MeteorickĂ˝ roj: | sporadickĂ˝ |
|
Elementy dráhy meteoroidu:
| Vzdálenost v periheliu: | 0,815 AU |
| Excentricita: | 4,583 |
| Sklon dráhy: | 95,5° |
| Délka vzestupného uzlu: | 31,5° |
| Argument perihelia: | 219,6° |
| Střednà anomálie: | -131,3° |
| Epocha: | 2026 APR 21 22:57:29 |
|