🇳🇴 🇬🇧 🇩🇪 🇨🇿 🇫🇮

Meteor over Munkedal 2026-04-21 22:57:29 UTC

KML-fil  |  Interaktivt kart

Kartet viser peilingene for meteoren. De lysere linjene viser retningene fra observasjonsstedene for meteorens tilsynekomst, og de mørkere linjene viser hvor den sist kunne sees. Den blå pila viser meteorens synlige ferd.

static map
height profile
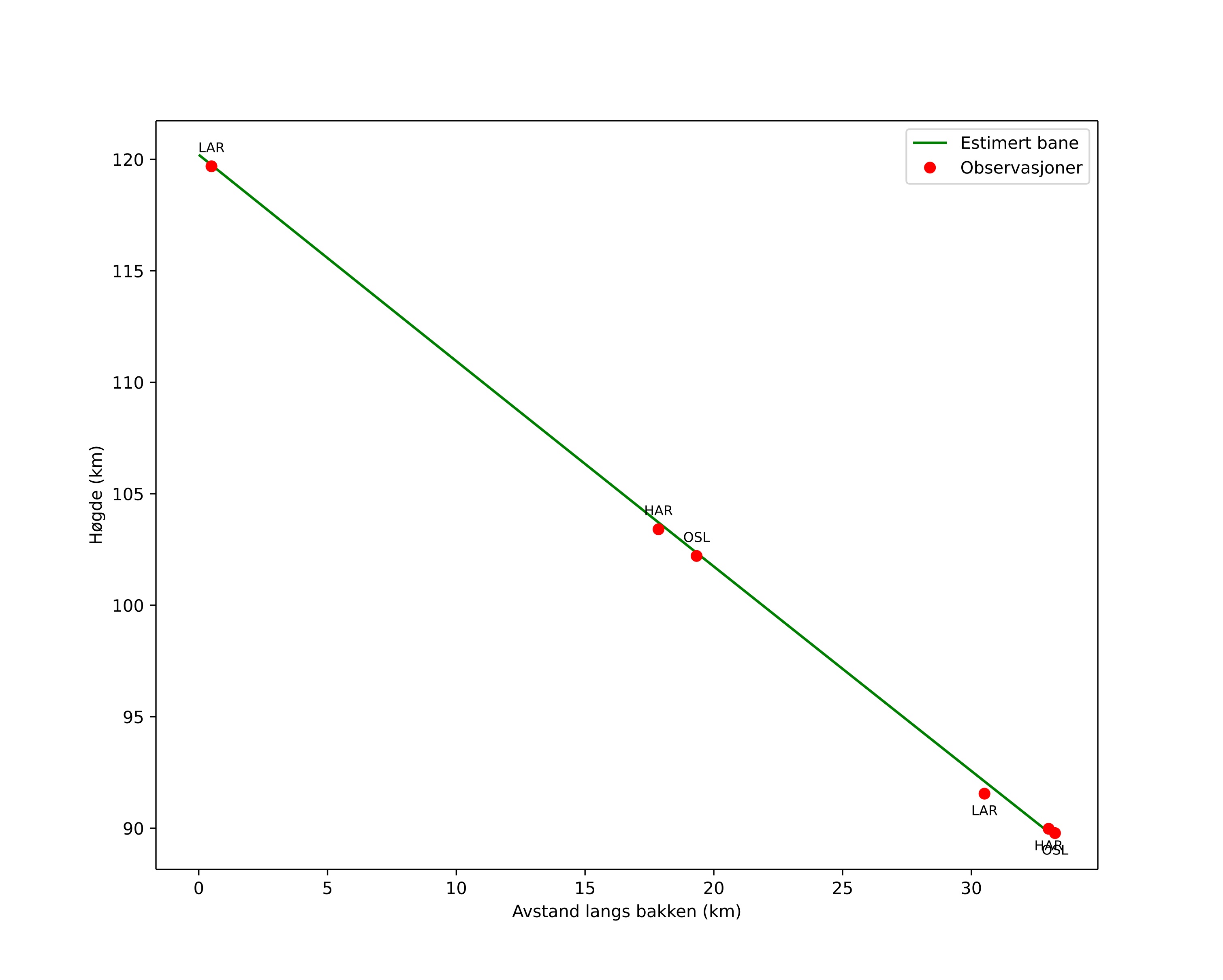
Meteorens atmosfæriske bane:
Starthøgde: 120,2 km
Slutthøgde: 89,7 km
Startposisjon: 58,416N 12,302E
Sluttposisjon: 58,515N 11,764E
Retning: 289,5°
Fallvinkel: 42,6°
Inngangshastighet: 84,2 km/s
Radiantens rektascensjon: 17:08 (257,2°)
Radiantens deklinasjon: 26,4°
Meteorsverm: sporadisk
Meteoroidens baneelement:
Perihelavstand: 0,815 AU
Eksentrisitet: 4,583
Inklinasjon: 95,5°
Knutelengde: 31,5°
Perihelargument: 219,6°
Midlere anomali: -131,3°
Epoke: 2026 APR 21 22:57:29
orbit plot

Ikke-interaktivt plott | Interaktivt plott

position vs time
speed and acceleration

Harestua (HAR) cam3


preview
Videoer
• Gnomonisk
• Gnomonisk med koordinater
• Original
• Original med koordinater
Bilder
• Gnomonisk
• Gnomonisk med koordinater
• Original
• Original med koordinater
Tekstfiler
• Deteksjon
• Observasjon
• Koordinater
• Logg
Lysstyrke

Larvik (LAR) cam3


preview
Videoer
• Gnomonisk
• Gnomonisk med koordinater
• Original
• Original med koordinater
Bilder
• Gnomonisk
• Gnomonisk med koordinater
• Original
• Original med koordinater
Tekstfiler
• Deteksjon
• Observasjon
• Koordinater
• Logg
Lysstyrke

Voksenlia (OSL) cam4


preview
Videoer
• Gnomonisk
• Gnomonisk med koordinater
• Original
• Original med koordinater
Bilder
• Gnomonisk
• Gnomonisk med koordinater
• Original
• Original med koordinater
Tekstfiler
• Deteksjon
• Observasjon
• Koordinater
• Logg
Lysstyrke