🇳🇴 🇬🇧 🇩🇪 🇨🇿 🇫🇮

Meteor over Fedje 2026-04-22 00:16:49 UTC

KML-fil  |  Interaktivt kart

Kartet viser peilingene for meteoren. De lysere linjene viser retningene fra observasjonsstedene for meteorens tilsynekomst, og de mørkere linjene viser hvor den sist kunne sees. Den blå pila viser meteorens synlige ferd.

static map
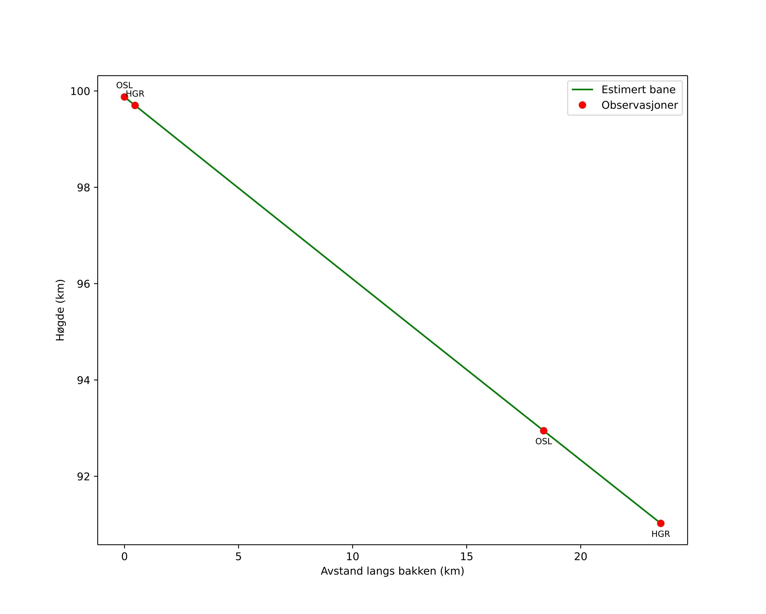
height profile
Meteorens atmosfæriske bane:
Starthøgde: 99,9 km
Slutthøgde: 91,0 km
Startposisjon: 60,374N 3,972E
Sluttposisjon: 60,584N 4,024E
Retning: 6,9°
Fallvinkel: 20,7°
Inngangshastighet: 54,9 km/s
Radiantens rektascensjon: 14:03 (211,0°)
Radiantens deklinasjon: -9,4°
Meteorsverm: sporadisk
Meteoroidens baneelement:
Perihelavstand: 0,352 AU
Eksentrisitet: 1,763
Inklinasjon: 5,5°
Knutelengde: 31,6°
Perihelargument: 271,1°
Midlere anomali: -83,1°
Epoke: 2026 APR 22 00:16:49
orbit plot

Ikke-interaktivt plott | Interaktivt plott

position vs time
speed and acceleration

Hagar (HGR) cam1


preview
Videoer
• Gnomonisk
• Gnomonisk med koordinater
• Original
• Original med koordinater
Bilder
• Gnomonisk
• Gnomonisk med koordinater
• Original
• Original med koordinater
Tekstfiler
• Deteksjon
• Observasjon
• Koordinater
• Logg
Lysstyrke

Voksenlia (OSL) cam2


preview
Videoer
• Gnomonisk
• Gnomonisk med koordinater
• Original
• Original med koordinater
Bilder
• Gnomonisk
• Gnomonisk med koordinater
• Original
• Original med koordinater
Tekstfiler
• Deteksjon
• Observasjon
• Koordinater
• Logg
Lysstyrke