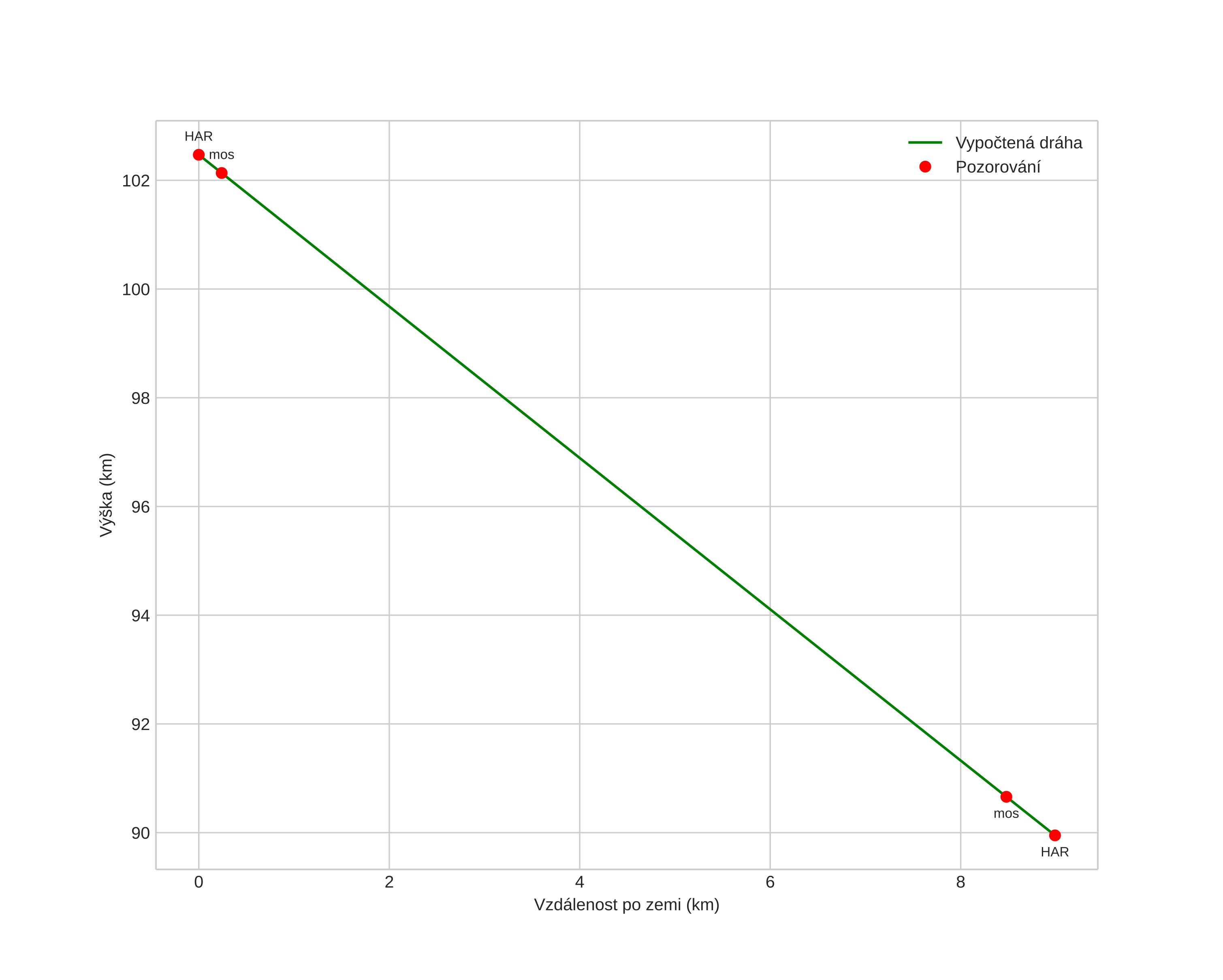
Atmosférická dráha meteoru:
| Počátečnà výška: | 102,5 km |
| Konečná výška: | 89,9 km |
| Počátečnà poloha: | 59,911N 12,623E |
| Konečná poloha: | 59,955N 12,488E |
| Směr: | 303,4° |
| Sklon: | 54,5° |
| VstupnĂ rychlost: | 45,1 km/s |
| Rektascenze radiantu: | 17:51 (267,8°) |
| Deklinace radiantu: | 32,5° |
| MeteorickĂ˝ roj: | Lyridy |
|
Elementy dráhy meteoroidu:
| Vzdálenost v periheliu: | 0,875 AU |
| Excentricita: | 0,811 |
| Sklon dráhy: | 75,1° |
| Délka vzestupného uzlu: | 31,6° |
| Argument perihelia: | 224,7° |
| Střednà anomálie: | 357,0° |
| Epocha: | 2026 APR 22 00:40:36 |
|