🇳🇴 🇬🇧 🇩🇪 🇨🇿 🇫🇮

Meteor over Charlottenberg 2026-04-22 00:40:36 UTC

KML-fil  |  Interaktivt kart

Kartet viser peilingene for meteoren. De lysere linjene viser retningene fra observasjonsstedene for meteorens tilsynekomst, og de mørkere linjene viser hvor den sist kunne sees. Den blå pila viser meteorens synlige ferd.

static map
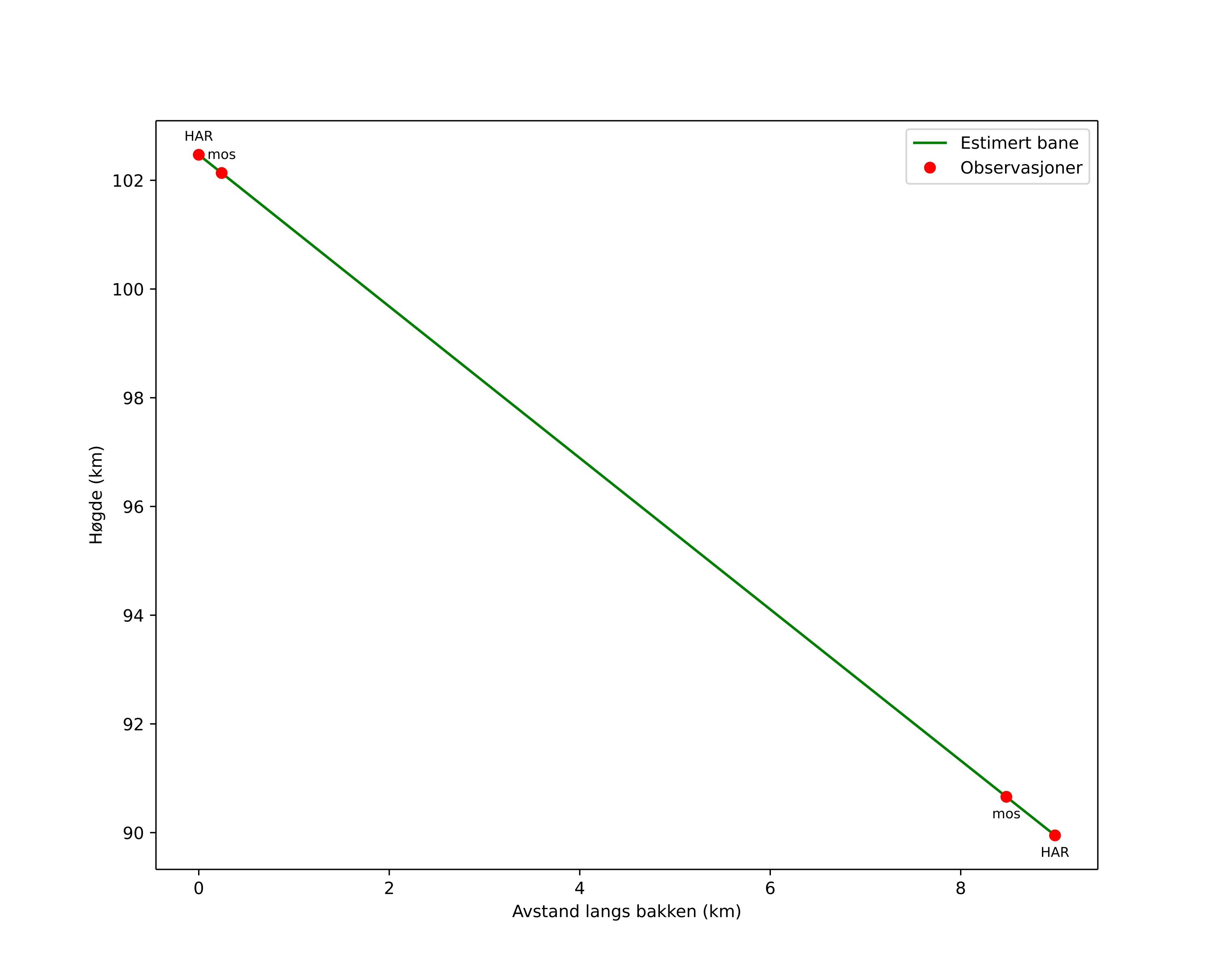
height profile
Meteorens atmosfæriske bane:
Starthøgde: 102,5 km
Slutthøgde: 89,9 km
Startposisjon: 59,911N 12,623E
Sluttposisjon: 59,955N 12,488E
Retning: 303,4°
Fallvinkel: 54,5°
Inngangshastighet: 45,1 km/s
Radiantens rektascensjon: 17:51 (267,8°)
Radiantens deklinasjon: 32,5°
Meteorsverm: Lyridene
Meteoroidens baneelement:
Perihelavstand: 0,875 AU
Eksentrisitet: 0,811
Inklinasjon: 75,1°
Knutelengde: 31,6°
Perihelargument: 224,7°
Midlere anomali: 357,0°
Epoke: 2026 APR 22 00:40:36
orbit plot

Ikke-interaktivt plott | Interaktivt plott

position vs time
speed and acceleration

Harestua (HAR) cam3


preview
Videoer
• Gnomonisk
• Gnomonisk med koordinater
• Original
• Original med koordinater
Bilder
• Gnomonisk
• Gnomonisk med koordinater
• Original
• Original med koordinater
Tekstfiler
• Deteksjon
• Observasjon
• Koordinater
• Logg
Lysstyrke

Moss (mos) cam2


preview
Videoer
• Gnomonisk
• Gnomonisk med koordinater
• Original
• Original med koordinater
Bilder
• Gnomonisk
• Gnomonisk med koordinater
• Original
• Original med koordinater
Tekstfiler
• Deteksjon
• Observasjon
• Koordinater
• Logg
Lysstyrke