🇳🇴 🇬🇧 🇩🇪 🇨🇿 🇫🇮

Meteor over Ockelbo 2026-04-22 00:44:36 UTC

KML-fil  |  Interaktivt kart

Kartet viser peilingene for meteoren. De lysere linjene viser retningene fra observasjonsstedene for meteorens tilsynekomst, og de mørkere linjene viser hvor den sist kunne sees. Den blå pila viser meteorens synlige ferd.

static map
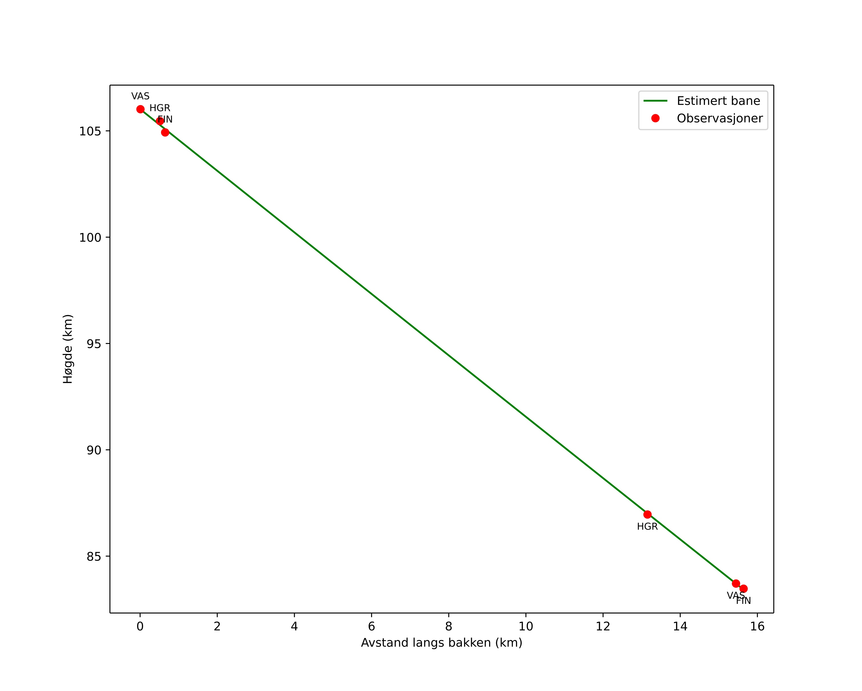
height profile
wind profile
Meteorens atmosfæriske bane:
Starthøgde: 106,0 km
Slutthøgde: 83,5 km
Startposisjon: 60,929N 16,900E
Sluttposisjon: 61,014N 16,669E
Retning: 307,2°
Fallvinkel: 55,2°
Inngangshastighet: 53,8 km/s
Radiantens rektascensjon: 18:02 (270,7°)
Radiantens deklinasjon: 33,0°
Meteorsverm: Lyridene
Meteoroidens baneelement:
Perihelavstand: 0,923 AU
Eksentrisitet: 1,391
Inklinasjon: 84,0°
Knutelengde: 31,6°
Perihelargument: 210,8°
Midlere anomali: -5,2°
Epoke: 2026 APR 22 00:44:36
orbit plot

Ikke-interaktivt plott | Interaktivt plott

position vs time
speed and acceleration

Finnskogen (FIN) cam2


preview
Videoer
• Gnomonisk
• Gnomonisk med koordinater
• Original
• Original med koordinater
Bilder
• Gnomonisk
• Gnomonisk med koordinater
• Original
• Original med koordinater
Tekstfiler
• Deteksjon
• Observasjon
• Koordinater
• Logg
Lysstyrke

Hagar (HGR) cam3


preview
Videoer
• Gnomonisk
• Gnomonisk med koordinater
• Original
• Original med koordinater
Bilder
• Gnomonisk
• Gnomonisk med koordinater
• Original
• Original med koordinater
Tekstfiler
• Deteksjon
• Observasjon
• Koordinater
• Logg
Lysstyrke

Vasteras (VAS) cam1


preview
Videoer
• Gnomonisk
• Gnomonisk med koordinater
• Original
• Original med koordinater
Bilder
• Gnomonisk
• Gnomonisk med koordinater
• Original
• Original med koordinater
Tekstfiler
• Deteksjon
• Observasjon
• Koordinater
• Logg
Lysstyrke