🇳🇴 🇬🇧 🇩🇪 🇨🇿 🇫🇮

Meteor Trettenin yllä 2026-04-22 00:52:48 UTC

KML-tiedosto  |  Interaktiivinen kartta

Kartta näyttää meteorin suuntahavainnot. Vaaleammat viivat näyttävät suunnat havaintoasemilta meteorin ilmestyessä, ja tummemmat viivat näyttävät, missä se viimeksi nähtiin. Sininen nuoli näyttää meteorin näkyvän lennon.

static map
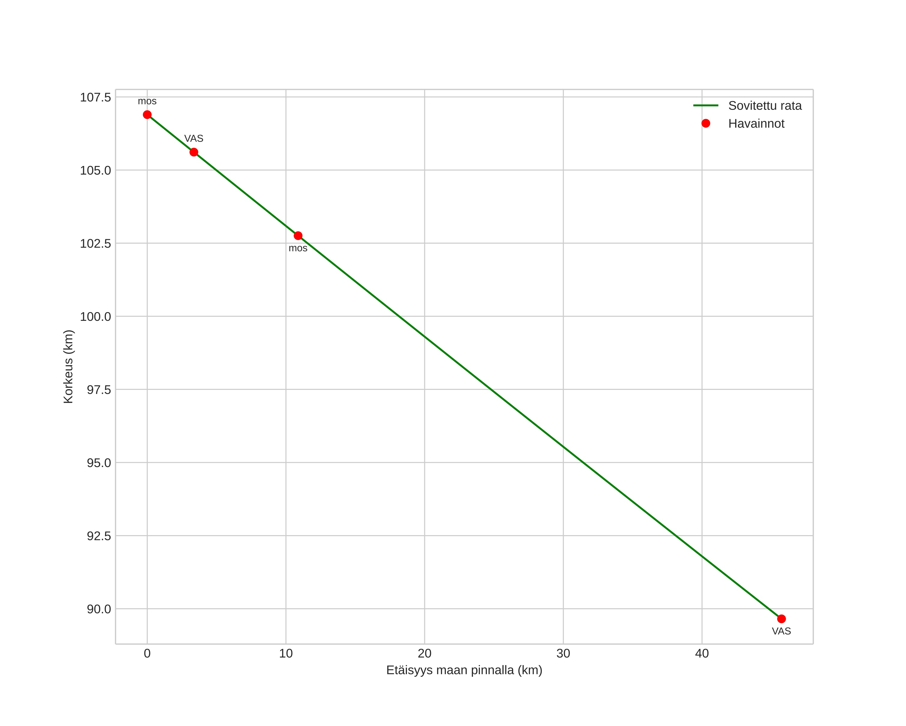
height profile
Meteorin ilmakehärata:
Alkukorkeus: 106,9 km
Loppukorkeus: 89,7 km
Alkupiste: 61,368N 11,293E
Loppupiste: 61,337N 10,438E
Suunta: 266,0°
Kallistuskulma: 20,6°
Tulonopeus: 59,6 km/s
Radiantin R,A,: 21:10 (317,7°)
Radiantin Dekl,: 19,2°
Meteoriparvi: Sporadinen
Meteoroidin rataelementit:
Perihelietäisyys: 0,728 AU
Eksentrisyys: 0,949
Inklinaatio: 113,6°
Nousevan solmun pituus: 31,6°
Perihelin argumentti: 115,7°
Keskianomalia: 0,7°
Epookki: 2026 APR 22 00:52:48
orbit plot

Ei-interaktiivinen kuvaaja | Interaktiivinen kuvaaja

position vs time
speed and acceleration

Moss (mos) cam2


preview
Videot:
• Gnomoninen
• Gnomoninen koordinaateilla
• Alkuperäinen
• Alkuperäinen koordinaateilla
Kuvat:
• Gnomoninen
• Gnomoninen koordinaateilla
• Alkuperäinen
• Alkuperäinen koordinaateilla
Tekstitiedostot:
• Havaintoraportti
• Observaatio
• Koordinaatit
• Loki
Kirkkaus

Vasteras (VAS) cam5


preview
Videot:
• Gnomoninen
• Gnomoninen koordinaateilla
• Alkuperäinen
• Alkuperäinen koordinaateilla
Kuvat:
• Gnomoninen
• Gnomoninen koordinaateilla
• Alkuperäinen
• Alkuperäinen koordinaateilla
Tekstitiedostot:
• Havaintoraportti
• Observaatio
• Koordinaatit
• Loki
Kirkkaus