🇳🇴 🇬🇧 🇩🇪 🇨🇿 🇫🇮

Meteor über Bismo 2026-04-22 01:50:57 UTC

KML-Datei  |  Interaktive Karte

Die Karte zeigt die Peilungen für den Meteor. Die helleren Linien zeigen die Richtungen von den Beobachtungsorten beim Erscheinen des Meteors, und die dunkleren Linien, wo er zuletzt gesehen wurde. Der blaue Pfeil zeigt die sichtbare Bahn des Meteors.

static map
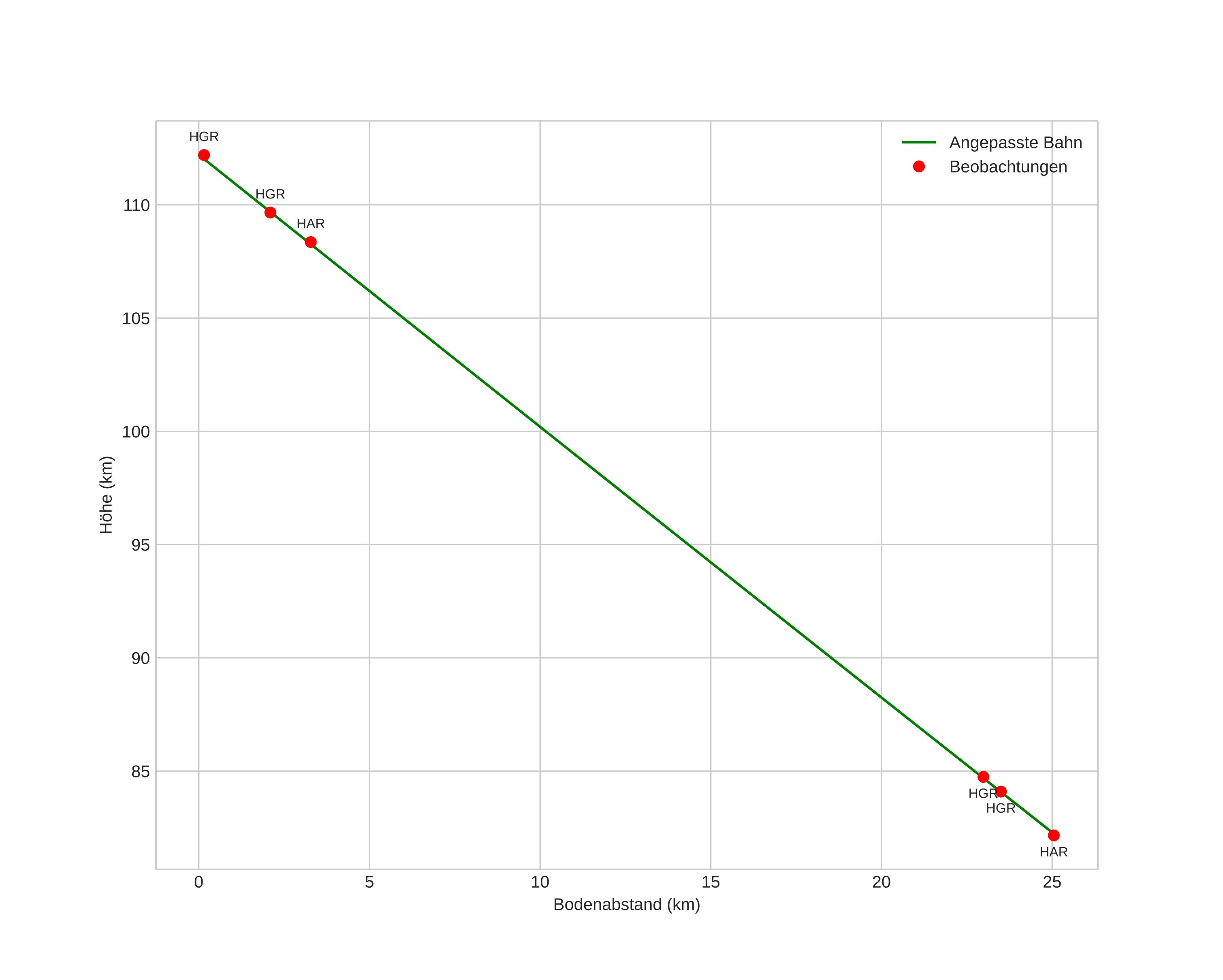
height profile
Atmosphärische Bahn des Meteors:
Anfangshöhe: 112,2 km
Endhöhe: 82,2 km
Startposition: 62,078N 8,763E
Endposition: 62,253N 8,458E
Richtung: 321,0°
Neigungswinkel: 50,1°
Eintrittsgeschwindigkeit: 58,2 km/s
Rektaszension des Radianten: 18:11 (273,0°)
Deklination des Radianten: 26,0°
Meteorstrom: Lyriden
Bahnelemente des Meteoroiden:
Periheldistanz: 0,894 AU
Exzentrizität: 1,404
Inklination: 94,4°
Länge des aufsteigenden Knotens: 31,6°
Argument des Perihels: 215,8°
Mittlere Anomalie: -6,4°
Epoche: 2026 APR 22 01:50:57
orbit plot

Nicht-interaktives Diagramm | Interaktives Diagramm

position vs time
speed and acceleration

Hagar (HGR) cam1


preview
Videos
• Gnomonisch
• Gnomonisch mit Koordinaten
• Original
• Original mit Koordinaten
Bilder
• Gnomonisch
• Gnomonisch mit Koordinaten
• Original
• Original mit Koordinaten
Textdateien
• Erkennung
• Beobachtung
• Koordinaten
• Protokoll
Helligkeit

Hagar (HGR) cam2


preview
Videos
• Gnomonisch
• Gnomonisch mit Koordinaten
• Original
• Original mit Koordinaten
Bilder
• Gnomonisch
• Gnomonisch mit Koordinaten
• Original
• Original mit Koordinaten
Textdateien
• Erkennung
• Beobachtung
• Koordinaten
• Protokoll
Helligkeit

Harestua (HAR) cam5


preview
Videos
• Gnomonisch
• Gnomonisch mit Koordinaten
• Original
• Original mit Koordinaten
Bilder
• Gnomonisch
• Gnomonisch mit Koordinaten
• Original
• Original mit Koordinaten
Textdateien
• Erkennung
• Beobachtung
• Koordinaten
• Protokoll
Helligkeit