🇳🇴 🇬🇧 🇩🇪 🇨🇿 🇫🇮

Meteor, poloha: Notodden 2026-04-22 23:31:16 UTC

Soubor KML  |  Interaktivní mapa

Mapa zobrazuje dráhy meteoru. Světlejší čáry ukazují směry od pozorovacích stanic při objevení se meteoru a tmavší čáry, kde byl naposledy viděn. Modrá šipka značí viditelnou dráhu meteoru.

static map
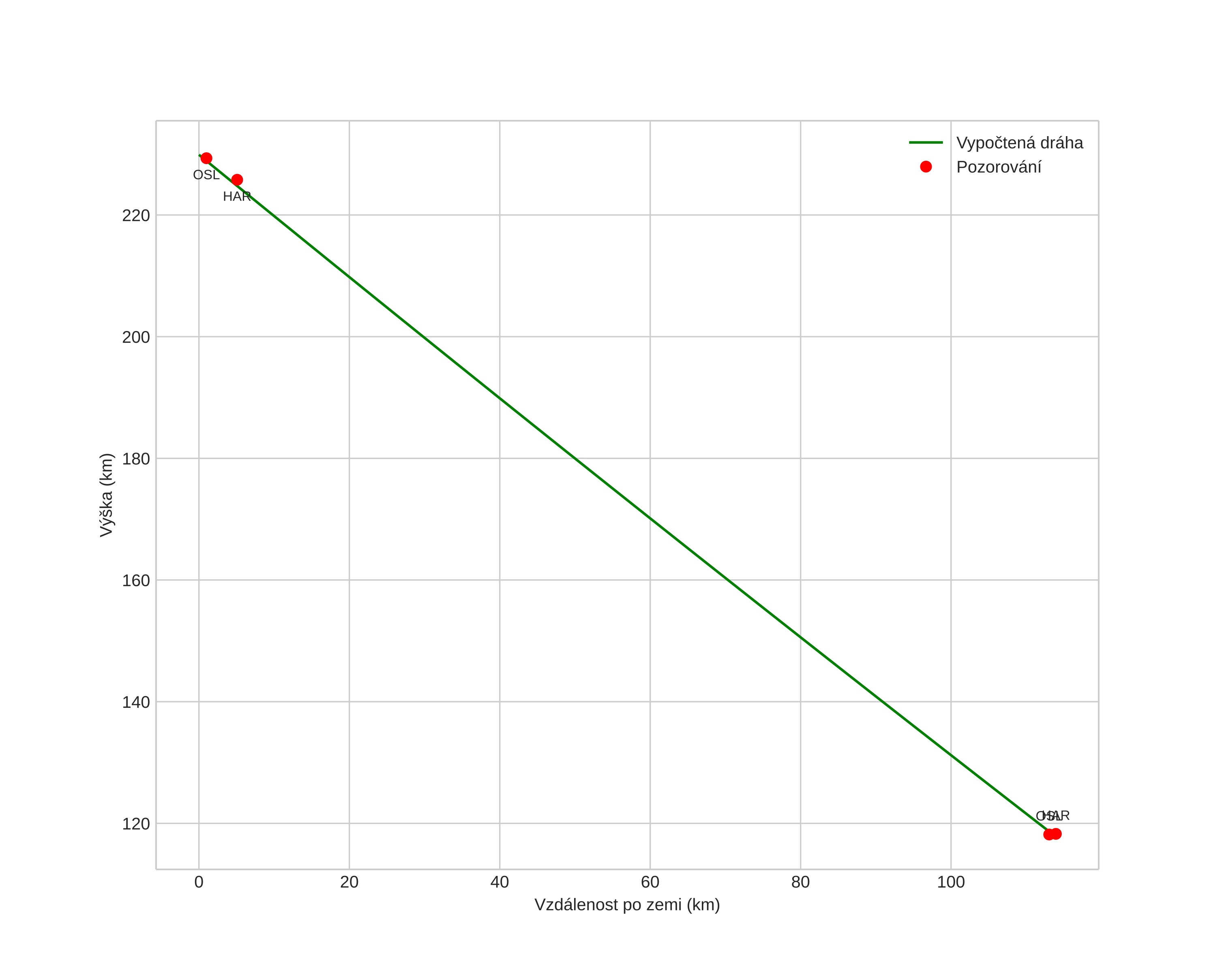
height profile
Atmosférická dráha meteoru:
Počáteční výška: 229,9 km
Konečná výška: 118,0 km
Počáteční poloha: 58,691N 8,073E
Konečná poloha: 59,482N 9,334E
Směr: 38,8°
Sklon: 44,5°
orbit plot

Neinteraktivní graf | Interaktivní graf

position vs time
speed and acceleration