🇳🇴 🇬🇧 🇩🇪 🇨🇿 🇫🇮

Meteor, poloha: Larkollen 2026-04-22 23:32:36 UTC

Soubor KML  |  Interaktivní mapa

Mapa zobrazuje dráhy meteoru. Světlejší čáry ukazují směry od pozorovacích stanic při objevení se meteoru a tmavší čáry, kde byl naposledy viděn. Modrá šipka značí viditelnou dráhu meteoru.

static map
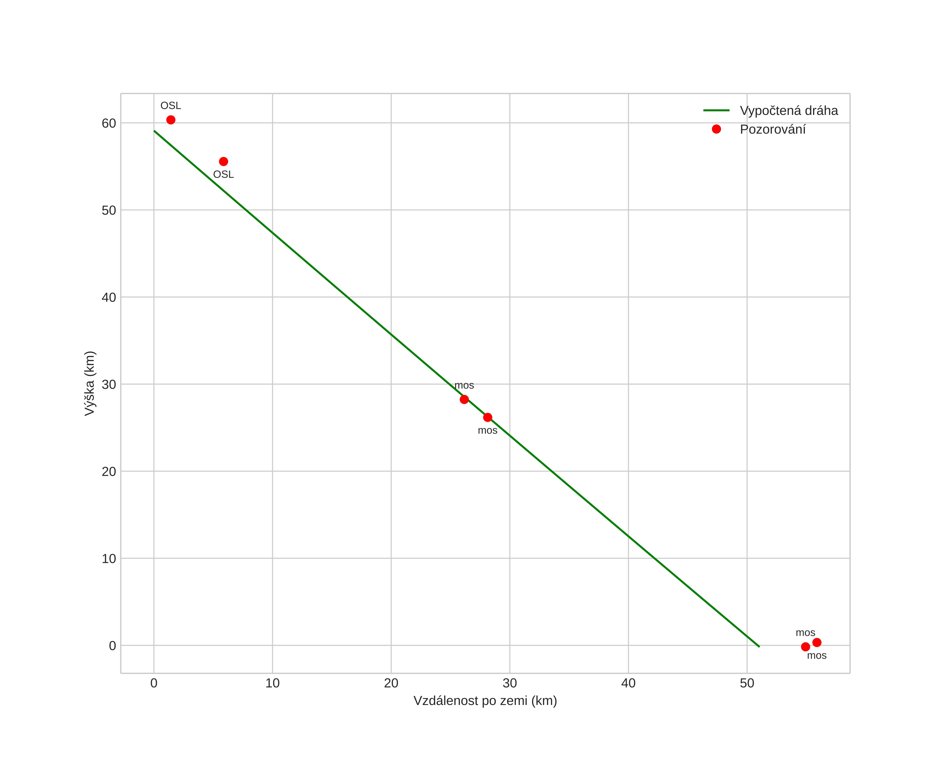
height profile
wind profile
Atmosférická dráha meteoru:
Počáteční výška: 59,1 km
Konečná výška: -0,2 km
Počáteční poloha: 59,185N 11,506E
Konečná poloha: 59,244N 10,617E
Směr: 277,8°
Sklon: 49,3°
Vstupní rychlost: 0,9 km/s
position vs time
speed and acceleration