🇳🇴 🇬🇧 🇩🇪 🇨🇿 🇫🇮

Meteor, poloha: Tranås 2026-04-23 00:01:07 UTC

Soubor KML  |  Interaktivní mapa

Mapa zobrazuje dráhy meteoru. Světlejší čáry ukazují směry od pozorovacích stanic při objevení se meteoru a tmavší čáry, kde byl naposledy viděn. Modrá šipka značí viditelnou dráhu meteoru.

static map
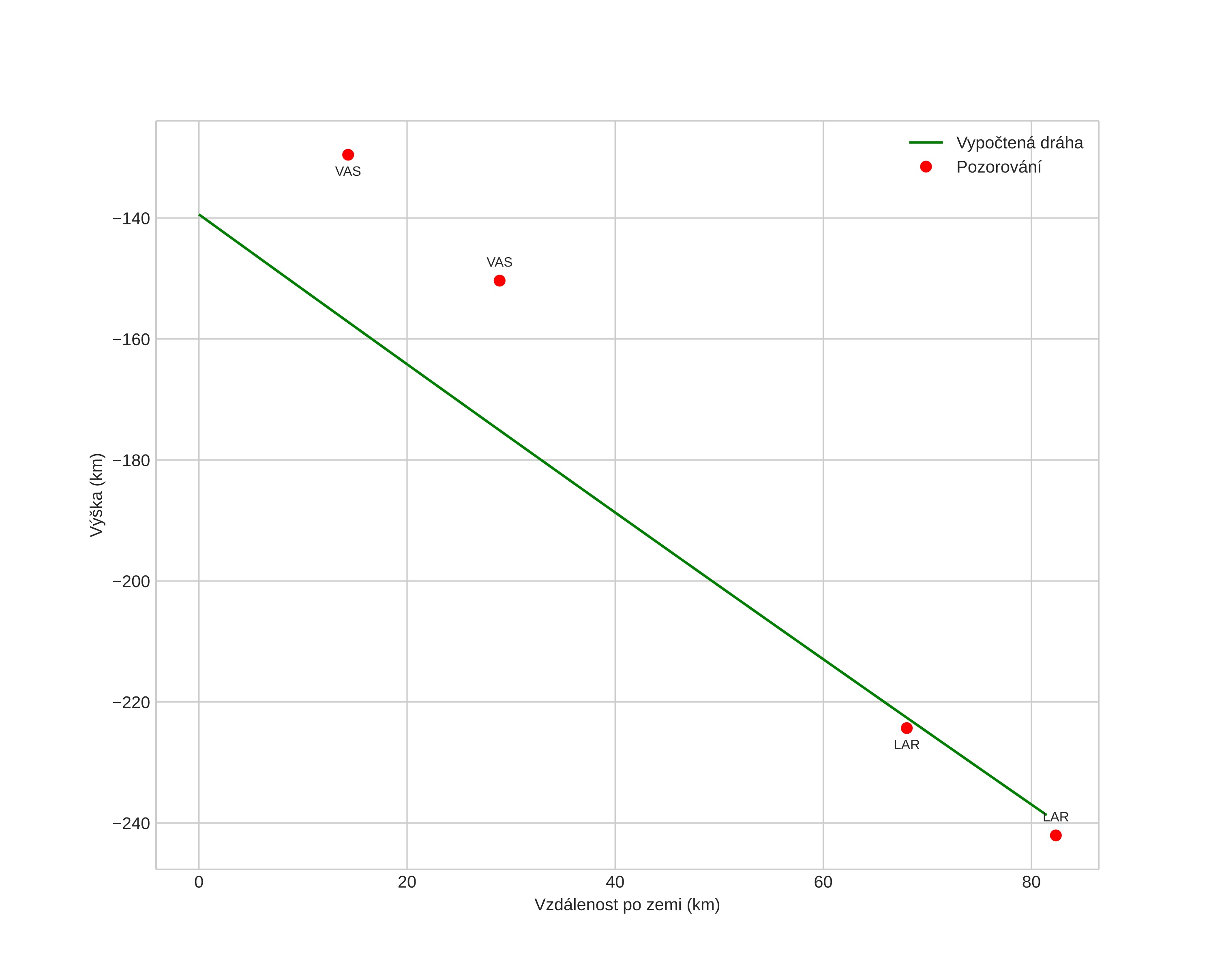
height profile
Atmosférická dráha meteoru:
Počáteční výška: -139,4 km
Konečná výška: -238,7 km
Počáteční poloha: 57,825N 16,322E
Konečná poloha: 57,928N 14,958E
Směr: 278,7°
Sklon: 50,6°
position vs time
speed and acceleration