🇳🇴 🇬🇧 🇩🇪 🇨🇿 🇫🇮

Meteor over Smögen 2026-04-23 00:01:27 UTC

KML-fil  |  Interaktivt kart

Kartet viser peilingene for meteoren. De lysere linjene viser retningene fra observasjonsstedene for meteorens tilsynekomst, og de mørkere linjene viser hvor den sist kunne sees. Den blå pila viser meteorens synlige ferd.

static map
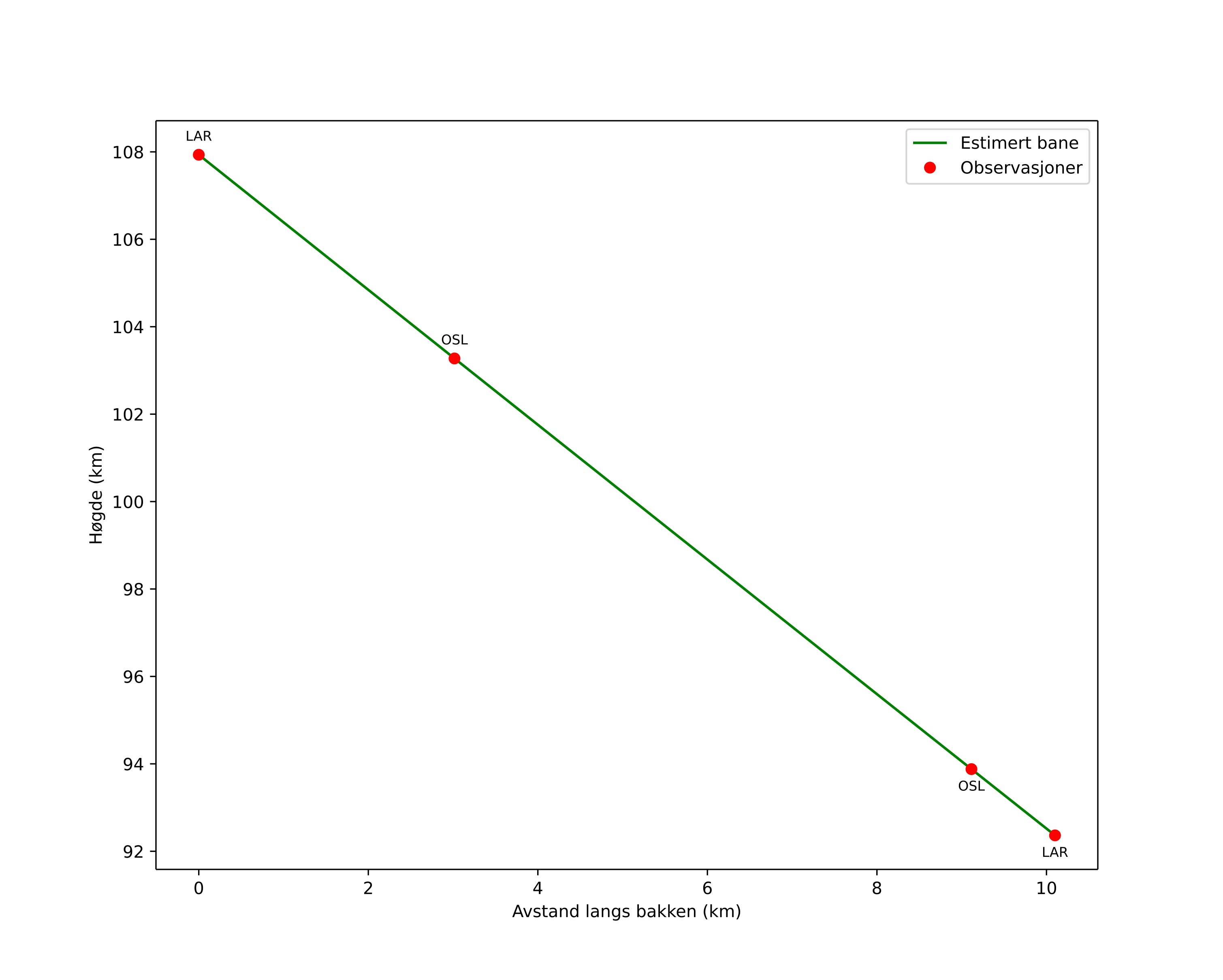
height profile
Meteorens atmosfæriske bane:
Starthøgde: 107,9 km
Slutthøgde: 92,4 km
Startposisjon: 58,244N 10,882E
Sluttposisjon: 58,294N 10,737E
Retning: 303,1°
Fallvinkel: 56,9°
Inngangshastighet: 73,0 km/s
Radiantens rektascensjon: 17:00 (255,2°)
Radiantens deklinasjon: 33,6°
Meteorsverm: sporadisk
Meteoroidens baneelement:
Perihelavstand: 0,856 AU
Eksentrisitet: 3,787
Inklinasjon: 84,0°
Knutelengde: 32,5°
Perihelargument: 215,7°
Midlere anomali: -84,9°
Epoke: 2026 APR 23 00:01:27
orbit plot

Ikke-interaktivt plott | Interaktivt plott

position vs time
speed and acceleration

Larvik (LAR) cam3


preview
Videoer
• Gnomonisk
• Gnomonisk med koordinater
• Original
• Original med koordinater
Bilder
• Gnomonisk
• Gnomonisk med koordinater
• Original
• Original med koordinater
Tekstfiler
• Deteksjon
• Observasjon
• Koordinater
• Logg
Lysstyrke

Voksenlia (OSL) cam4


preview
Videoer
• Gnomonisk
• Gnomonisk med koordinater
• Original
• Original med koordinater
Bilder
• Gnomonisk
• Gnomonisk med koordinater
• Original
• Original med koordinater
Tekstfiler
• Deteksjon
• Observasjon
• Koordinater
• Logg
Lysstyrke