🇳🇴 🇬🇧 🇩🇪 🇨🇿 🇫🇮

Meteor over Kungsbacka 2026-04-24 00:12:41 UTC

KML-fil  |  Interaktivt kart

Kartet viser peilingene for meteoren. De lysere linjene viser retningene fra observasjonsstedene for meteorens tilsynekomst, og de mørkere linjene viser hvor den sist kunne sees. Den blå pila viser meteorens synlige ferd.

static map
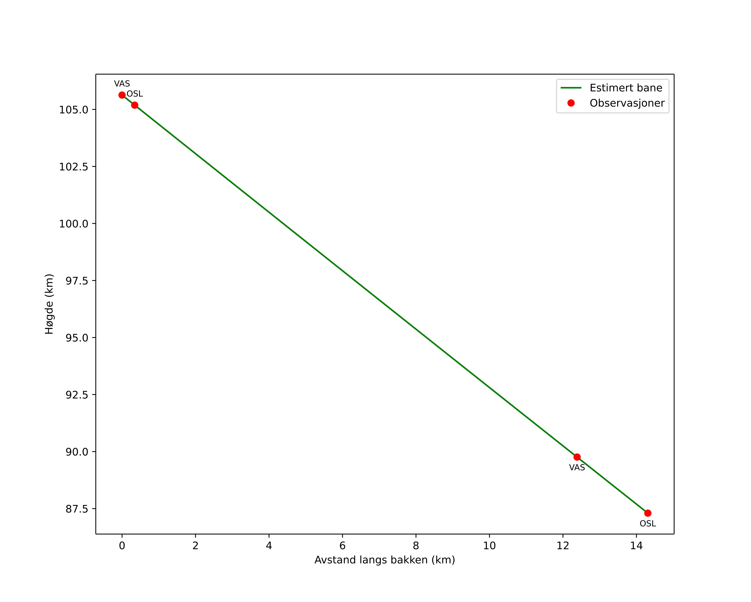
height profile
Meteorens atmosfæriske bane:
Starthøgde: 105,6 km
Slutthøgde: 87,3 km
Startposisjon: 57,435N 12,273E
Sluttposisjon: 57,481N 12,050E
Retning: 291,0°
Fallvinkel: 52,0°
Inngangshastighet: 61,0 km/s
Radiantens rektascensjon: 18:01 (270,4°)
Radiantens deklinasjon: 32,7°
Meteorsverm: sporadisk
Meteoroidens baneelement:
Perihelavstand: 0,921 AU
Eksentrisitet: 2,055
Inklinasjon: 88,1°
Knutelengde: 33,5°
Perihelargument: 208,9°
Midlere anomali: -19,0°
Epoke: 2026 APR 24 00:12:41
orbit plot

Ikke-interaktivt plott | Interaktivt plott

position vs time
speed and acceleration

Vasteras (VAS) cam4


preview
Videoer
• Gnomonisk
• Gnomonisk med koordinater
• Original
• Original med koordinater
Bilder
• Gnomonisk
• Gnomonisk med koordinater
• Original
• Original med koordinater
Tekstfiler
• Deteksjon
• Observasjon
• Koordinater
• Logg
Lysstyrke

Voksenlia (OSL) cam4


preview
Videoer
• Gnomonisk
• Gnomonisk med koordinater
• Original
• Original med koordinater
Bilder
• Gnomonisk
• Gnomonisk med koordinater
• Original
• Original med koordinater
Tekstfiler
• Deteksjon
• Observasjon
• Koordinater
• Logg
Lysstyrke