🇳🇴 🇬🇧 🇩🇪 🇨🇿 🇫🇮

Meteor Kungsbackan yllä 2026-04-24 00:12:41 UTC

KML-tiedosto  |  Interaktiivinen kartta

Kartta näyttää meteorin suuntahavainnot. Vaaleammat viivat näyttävät suunnat havaintoasemilta meteorin ilmestyessä, ja tummemmat viivat näyttävät, missä se viimeksi nähtiin. Sininen nuoli näyttää meteorin näkyvän lennon.

static map
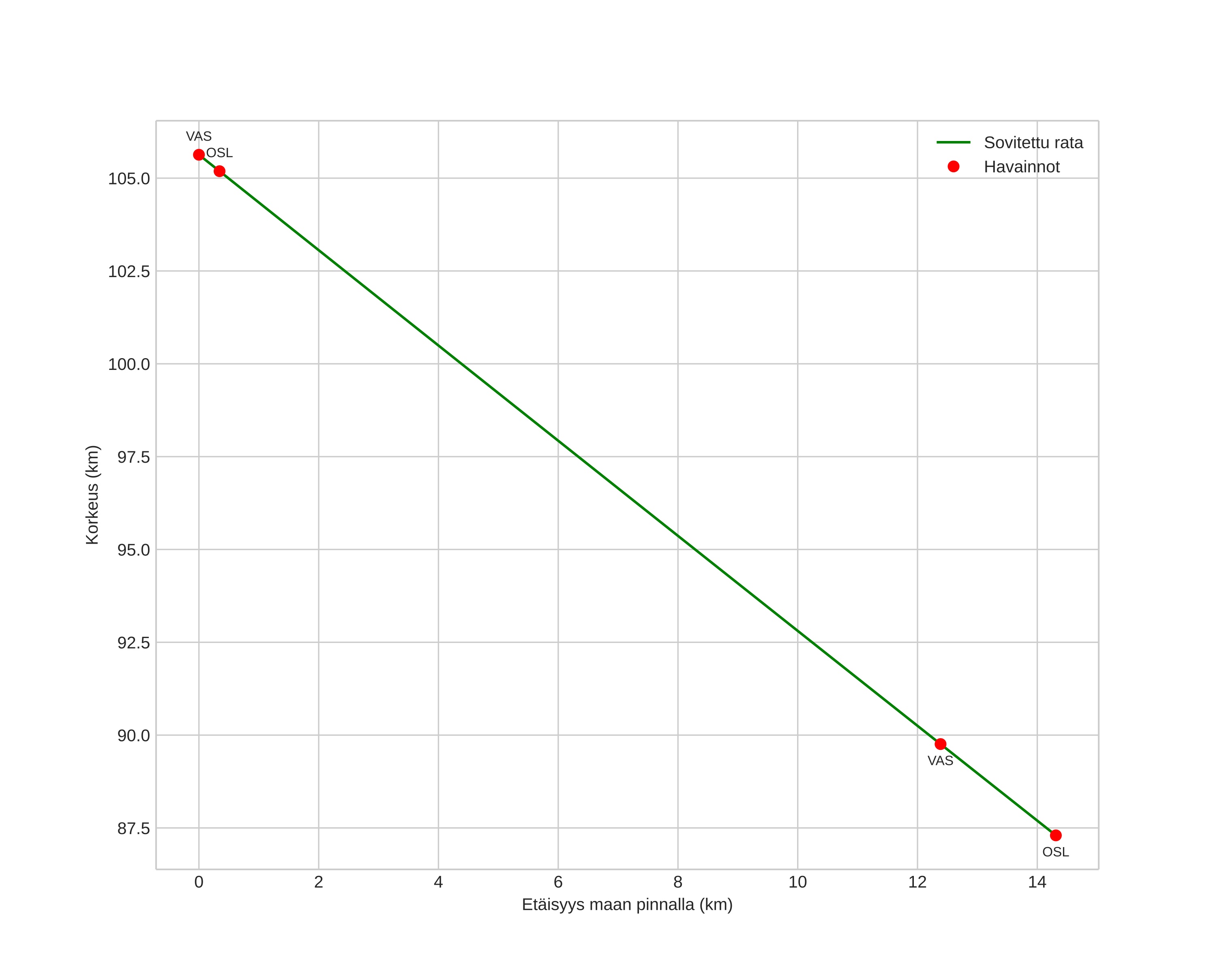
height profile
Meteorin ilmakehärata:
Alkukorkeus: 105,6 km
Loppukorkeus: 87,3 km
Alkupiste: 57,435N 12,273E
Loppupiste: 57,481N 12,050E
Suunta: 291,0°
Kallistuskulma: 52,0°
Tulonopeus: 61,0 km/s
Radiantin R,A,: 18:01 (270,4°)
Radiantin Dekl,: 32,7°
Meteoriparvi: Sporadinen
Meteoroidin rataelementit:
Perihelietäisyys: 0,921 AU
Eksentrisyys: 2,055
Inklinaatio: 88,1°
Nousevan solmun pituus: 33,5°
Perihelin argumentti: 208,9°
Keskianomalia: -19,0°
Epookki: 2026 APR 24 00:12:41
orbit plot

Ei-interaktiivinen kuvaaja | Interaktiivinen kuvaaja

position vs time
speed and acceleration

Vasteras (VAS) cam4


preview
Videot:
• Gnomoninen
• Gnomoninen koordinaateilla
• Alkuperäinen
• Alkuperäinen koordinaateilla
Kuvat:
• Gnomoninen
• Gnomoninen koordinaateilla
• Alkuperäinen
• Alkuperäinen koordinaateilla
Tekstitiedostot:
• Havaintoraportti
• Observaatio
• Koordinaatit
• Loki
Kirkkaus

Voksenlia (OSL) cam4


preview
Videot:
• Gnomoninen
• Gnomoninen koordinaateilla
• Alkuperäinen
• Alkuperäinen koordinaateilla
Kuvat:
• Gnomoninen
• Gnomoninen koordinaateilla
• Alkuperäinen
• Alkuperäinen koordinaateilla
Tekstitiedostot:
• Havaintoraportti
• Observaatio
• Koordinaatit
• Loki
Kirkkaus