🇳🇴 🇬🇧 🇩🇪 🇨🇿 🇫🇮

Meteor, poloha: Reinsvoll 2026-04-24 23:42:58 UTC

Soubor KML  |  Interaktivní mapa

Mapa zobrazuje dráhy meteoru. Světlejší čáry ukazují směry od pozorovacích stanic při objevení se meteoru a tmavší čáry, kde byl naposledy viděn. Modrá šipka značí viditelnou dráhu meteoru.

static map
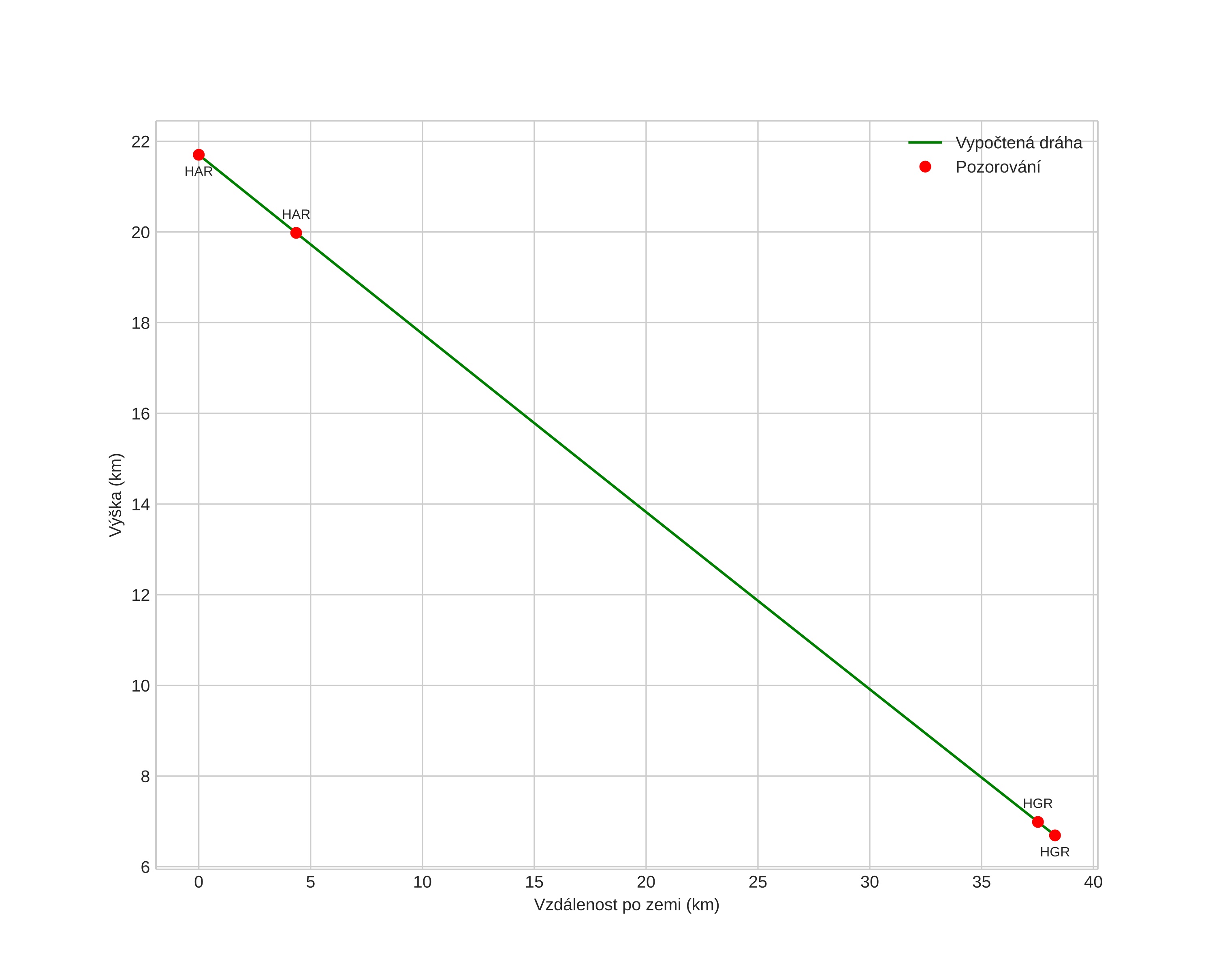
height profile
Atmosférická dráha meteoru:
Počáteční výška: 21,7 km
Konečná výška: 6,7 km
Počáteční poloha: 60,550N 11,204E
Konečná poloha: 60,606N 10,513E
Směr: 279,6°
Sklon: 21,4°
Vstupní rychlost: 8,0 km/s
orbit plot

Neinteraktivní graf | Interaktivní graf

position vs time
speed and acceleration