🇳🇴 🇬🇧 🇩🇪 🇨🇿 🇫🇮

Meteor, poloha: Bruflat 2026-04-25 23:39:09 UTC

Soubor KML  |  Interaktivní mapa

Mapa zobrazuje dráhy meteoru. Světlejší čáry ukazují směry od pozorovacích stanic při objevení se meteoru a tmavší čáry, kde byl naposledy viděn. Modrá šipka značí viditelnou dráhu meteoru.

static map
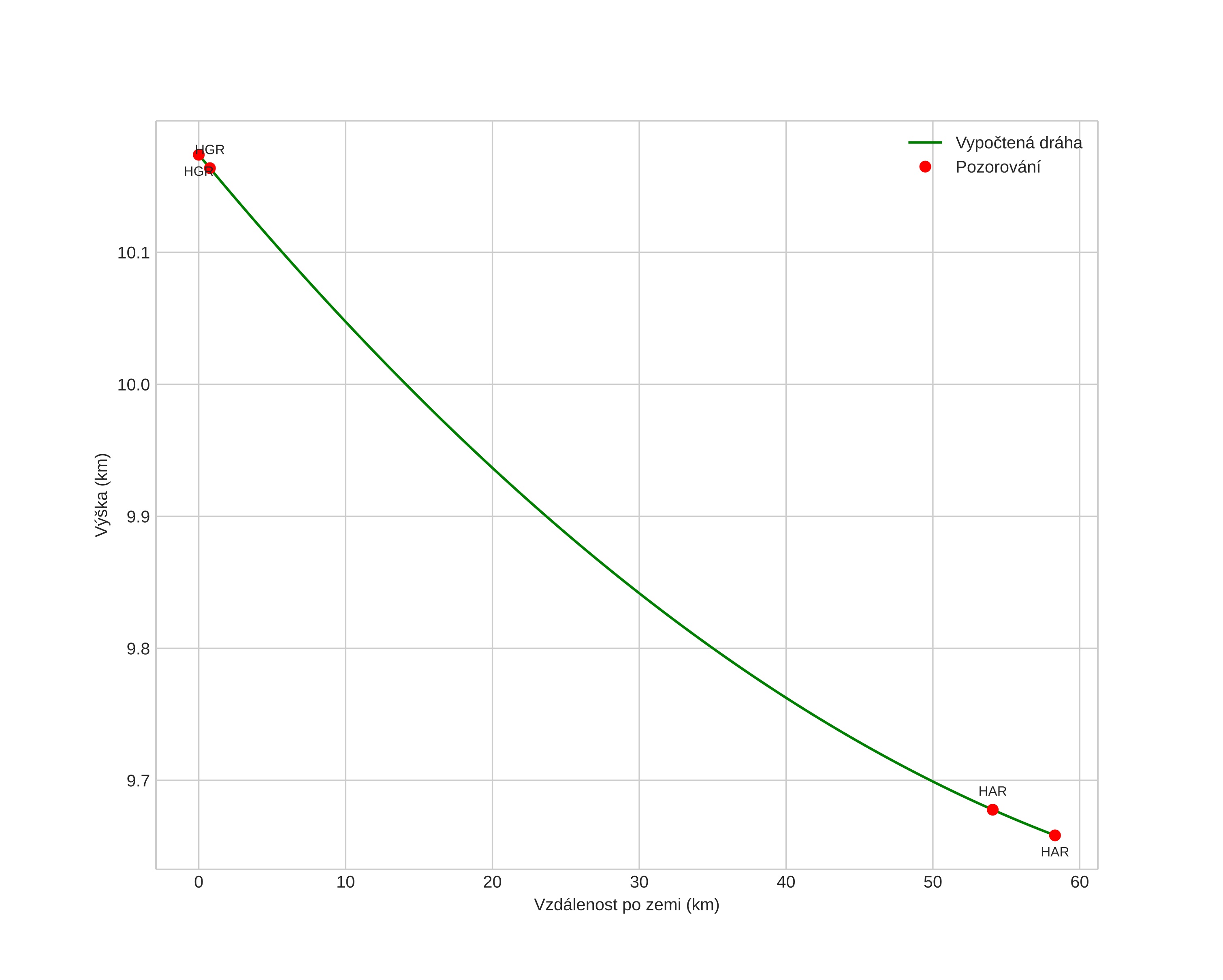
height profile
Atmosférická dráha meteoru:
Počáteční výška: 10,2 km
Konečná výška: 9,7 km
Počáteční poloha: 60,555N 10,730E
Konečná poloha: 60,848N 9,841E
Směr: 304,4°
Sklon: 0,5°
position vs time
speed and acceleration