🇳🇴 🇬🇧 🇩🇪 🇨🇿 🇫🇮

Meteor over Skarnes 2026-04-26 01:17:50 UTC

KML-fil  |  Interaktivt kart

Kartet viser peilingene for meteoren. De lysere linjene viser retningene fra observasjonsstedene for meteorens tilsynekomst, og de mørkere linjene viser hvor den sist kunne sees. Den blå pila viser meteorens synlige ferd.

static map
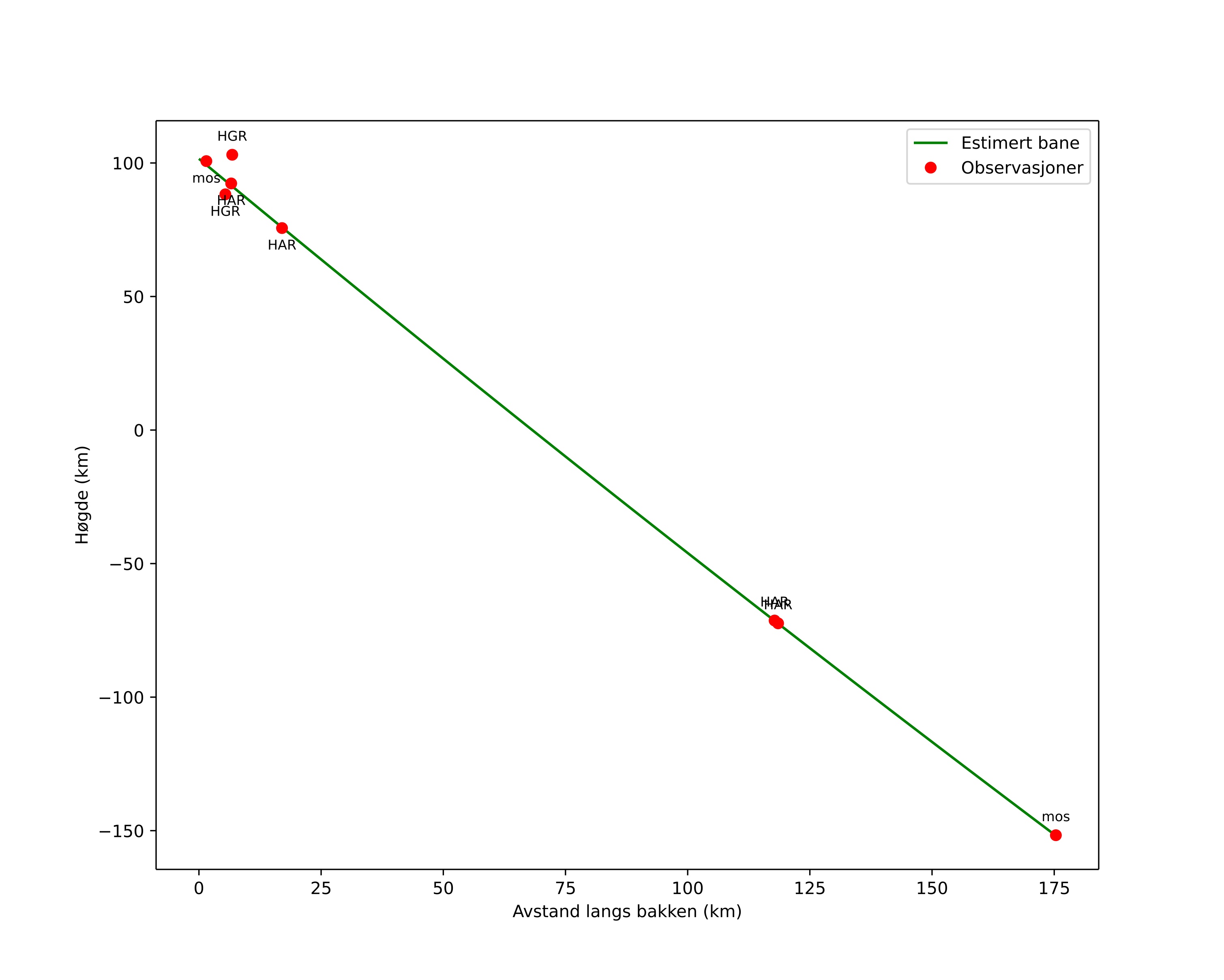
height profile
wind profile
Meteorens atmosfæriske bane:
Starthøgde: 101,6 km
Slutthøgde: -151,8 km
Startposisjon: 60,075N 8,515E
Sluttposisjon: 60,158N 11,675E
Retning: 85,6°
Fallvinkel: 55,3°
Inngangshastighet: 40,7 km/s
Radiantens rektascensjon: 12:36 (189,1°)
Radiantens deklinasjon: 43,1°
Meteorsverm: sporadisk
Meteoroidens baneelement:
Perihelavstand: 0,941 AU
Eksentrisitet: 3,048
Inklinasjon: 27,3°
Knutelengde: 35,5°
Perihelargument: 203,9°
Midlere anomali: -36,5°
Epoke: 2026 APR 26 01:17:50
orbit plot

Ikke-interaktivt plott | Interaktivt plott

position vs time
speed and acceleration

Hagar (HGR) cam5


preview
Videoer
• Gnomonisk
• Gnomonisk med koordinater
• Original
• Original med koordinater
Bilder
• Gnomonisk
• Gnomonisk med koordinater
• Original
• Original med koordinater
Tekstfiler
• Deteksjon
• Observasjon
• Koordinater
• Logg
Lysstyrke

Harestua (HAR) cam4


preview
Videoer
• Gnomonisk
• Gnomonisk med koordinater
• Original
• Original med koordinater
Bilder
• Gnomonisk
• Gnomonisk med koordinater
• Original
• Original med koordinater
Tekstfiler
• Deteksjon
• Observasjon
• Koordinater
• Logg
Lysstyrke

Harestua (HAR) cam5


preview
Videoer
• Gnomonisk
• Gnomonisk med koordinater
• Original
• Original med koordinater
Bilder
• Gnomonisk
• Gnomonisk med koordinater
• Original
• Original med koordinater
Tekstfiler
• Deteksjon
• Observasjon
• Koordinater
• Logg
Lysstyrke

Moss (mos) cam6


preview
Videoer
• Original
Bilder
• Gnomonisk
• Original
Tekstfiler
• Deteksjon
• Observasjon
• Koordinater
• Logg
Lysstyrke