🇳🇴 🇬🇧 🇩🇪 🇨🇿 🇫🇮

Meteor over Skarnes 2026-04-26 01:17:50 UTC

KML file  |  Interactive map

The map shows the bearings for the meteor. The lighter lines show the directions from the observation sites at the meteor's appearance, and the darker lines show where it was last seen. The blue arrow indicates the visible path of the meteor.

static map
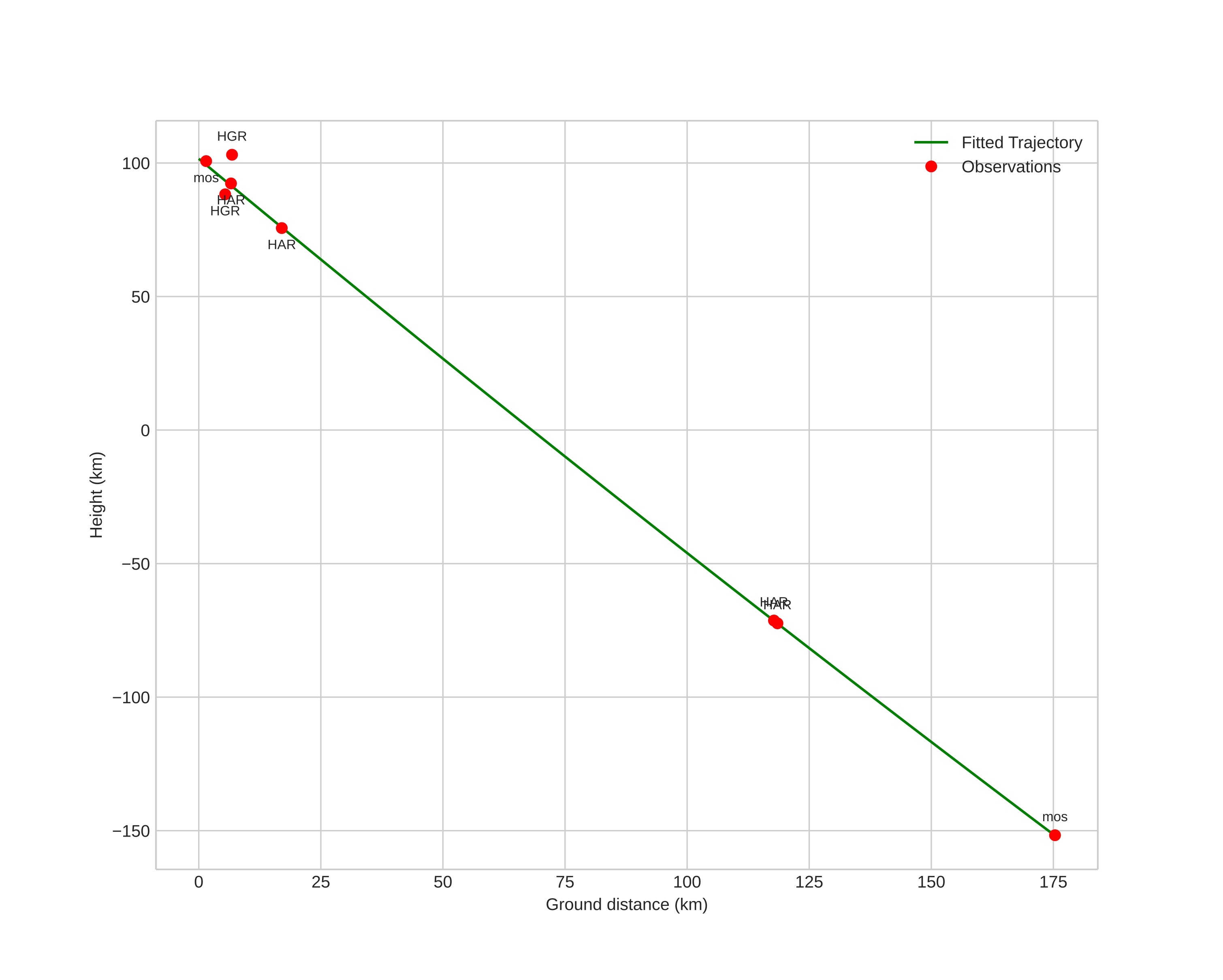
height profile
wind profile
Meteor's Atmospheric Trajectory:
Start height: 101.6 km
End height: -151.8 km
Start position: 60.075N 8.515E
End position: 60.158N 11.675E
Direction: 85.6°
Inclination angle: 55.3°
Entry speed: 40.7 km/s
Radiant R.A.: 12:36 (189.1°)
Radiant Dec.: 43.1°
Meteor Shower: sporadic
Meteoroid's Orbital Elements:
Perihelion distance: 0.941 AU
Eccentricity: 3.048
Inclination: 27.3°
Long. of Asc. Node: 35.5°
Argument of Perihelion: 203.9°
Mean Anomaly: -36.5°
Epoch: 2026 APR 26 01:17:50
orbit plot

Non-interactive plot | Interactive plot

position vs time
speed and acceleration

Hagar (HGR) cam5


preview
Videos
• Gnomonic
• Gnomonic with coordinates
• Original
• Original with coordinates
Images
• Gnomonic
• Gnomonic with coordinates
• Original
• Original with coordinates
Text Files
• Detection
• Observation
• Coordinates
• Log
Brightness

Harestua (HAR) cam4


preview
Videos
• Gnomonic
• Gnomonic with coordinates
• Original
• Original with coordinates
Images
• Gnomonic
• Gnomonic with coordinates
• Original
• Original with coordinates
Text Files
• Detection
• Observation
• Coordinates
• Log
Brightness

Harestua (HAR) cam5


preview
Videos
• Gnomonic
• Gnomonic with coordinates
• Original
• Original with coordinates
Images
• Gnomonic
• Gnomonic with coordinates
• Original
• Original with coordinates
Text Files
• Detection
• Observation
• Coordinates
• Log
Brightness

Moss (mos) cam6


preview
Videos
• Original
Images
• Gnomonic
• Original
Text Files
• Detection
• Observation
• Coordinates
• Log
Brightness