🇳🇴 🇬🇧 🇩🇪 🇨🇿 🇫🇮

Meteor over Kragerø 2026-04-26 23:09:43 UTC

KML-fil  |  Interaktivt kart

Kartet viser peilingene for meteoren. De lysere linjene viser retningene fra observasjonsstedene for meteorens tilsynekomst, og de mørkere linjene viser hvor den sist kunne sees. Den blå pila viser meteorens synlige ferd.

static map
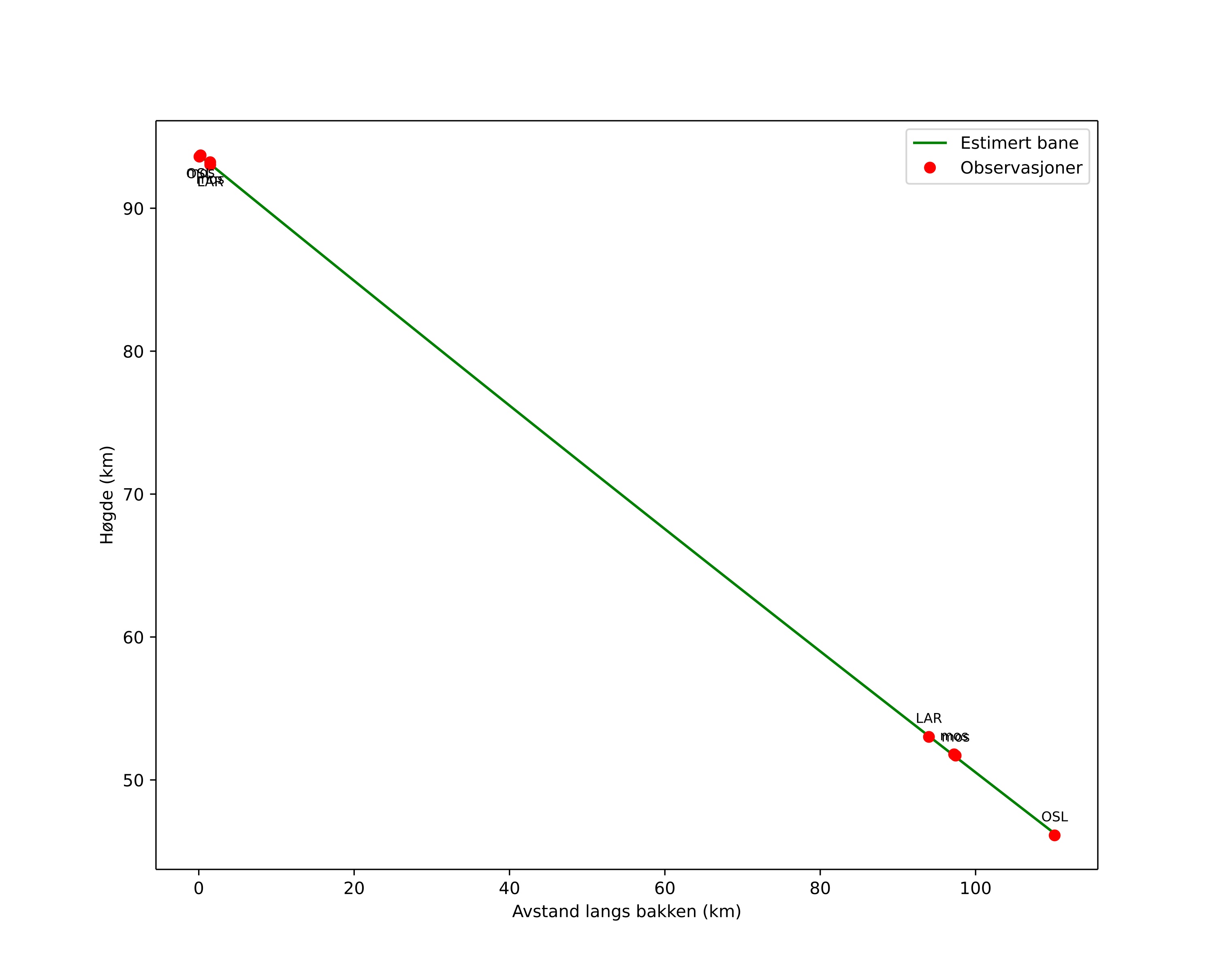
height profile
Meteorens atmosfæriske bane:
Starthøgde: 93,7 km
Slutthøgde: 46,2 km
Startposisjon: 58,696N 11,290E
Sluttposisjon: 58,953N 9,440E
Retning: 285,8°
Fallvinkel: 23,3°
Inngangshastighet: 53,2 km/s
Radiantens rektascensjon: 18:32 (278,2°)
Radiantens deklinasjon: 11,3°
Meteorsverm: sporadisk
Meteoroidens baneelement:
Perihelavstand: 0,646 AU
Eksentrisitet: 0,651
Inklinasjon: 106,4°
Knutelengde: 36,4°
Perihelargument: 264,7°
Midlere anomali: 341,2°
Epoke: 2026 APR 26 23:09:43
orbit plot

Ikke-interaktivt plott | Interaktivt plott

position vs time
speed and acceleration

Larvik (LAR) cam7


preview
Videoer
• Original
Bilder
• Gnomonisk
• Original
Tekstfiler
• Deteksjon
• Observasjon
• Koordinater
• Logg
Lysstyrke

Moss (mos) cam3


preview
Videoer
• Original
Bilder
• Gnomonisk
• Original
Tekstfiler
• Deteksjon
• Observasjon
• Koordinater
• Logg
Lysstyrke

Moss (mos) cam7


preview
Videoer
• Original
Bilder
• Gnomonisk
• Original
Tekstfiler
• Deteksjon
• Observasjon
• Koordinater
• Logg
Lysstyrke

Voksenlia (OSL) cam3


preview
Videoer
• Original
Bilder
• Gnomonisk
• Original
Tekstfiler
• Deteksjon
• Observasjon
• Koordinater
• Logg
Lysstyrke